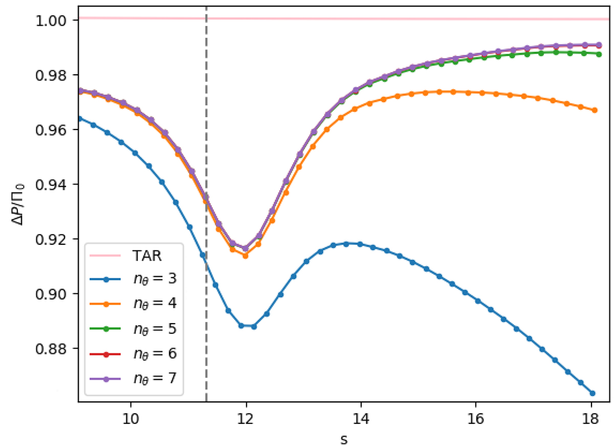
Fig. 5.

Download original image
Period spacing ΔPco/Π0 plotted as a function of the spin parameter s with different latitudinal resolutions nθ for the series of modes (ℓ = 1, m = −1) and for a rotation rate Ω = 0.4ΩK. Their radial order n goes from 32 to 72. The model used is 1z. The pink line shows the traditional approximation of rotation. The vertical line shows the spin parameter of the resonant inertial mode calculated with an analytical uniform density model.
Current usage metrics show cumulative count of Article Views (full-text article views including HTML views, PDF and ePub downloads, according to the available data) and Abstracts Views on Vision4Press platform.
Data correspond to usage on the plateform after 2015. The current usage metrics is available 48-96 hours after online publication and is updated daily on week days.
Initial download of the metrics may take a while.