Open Access
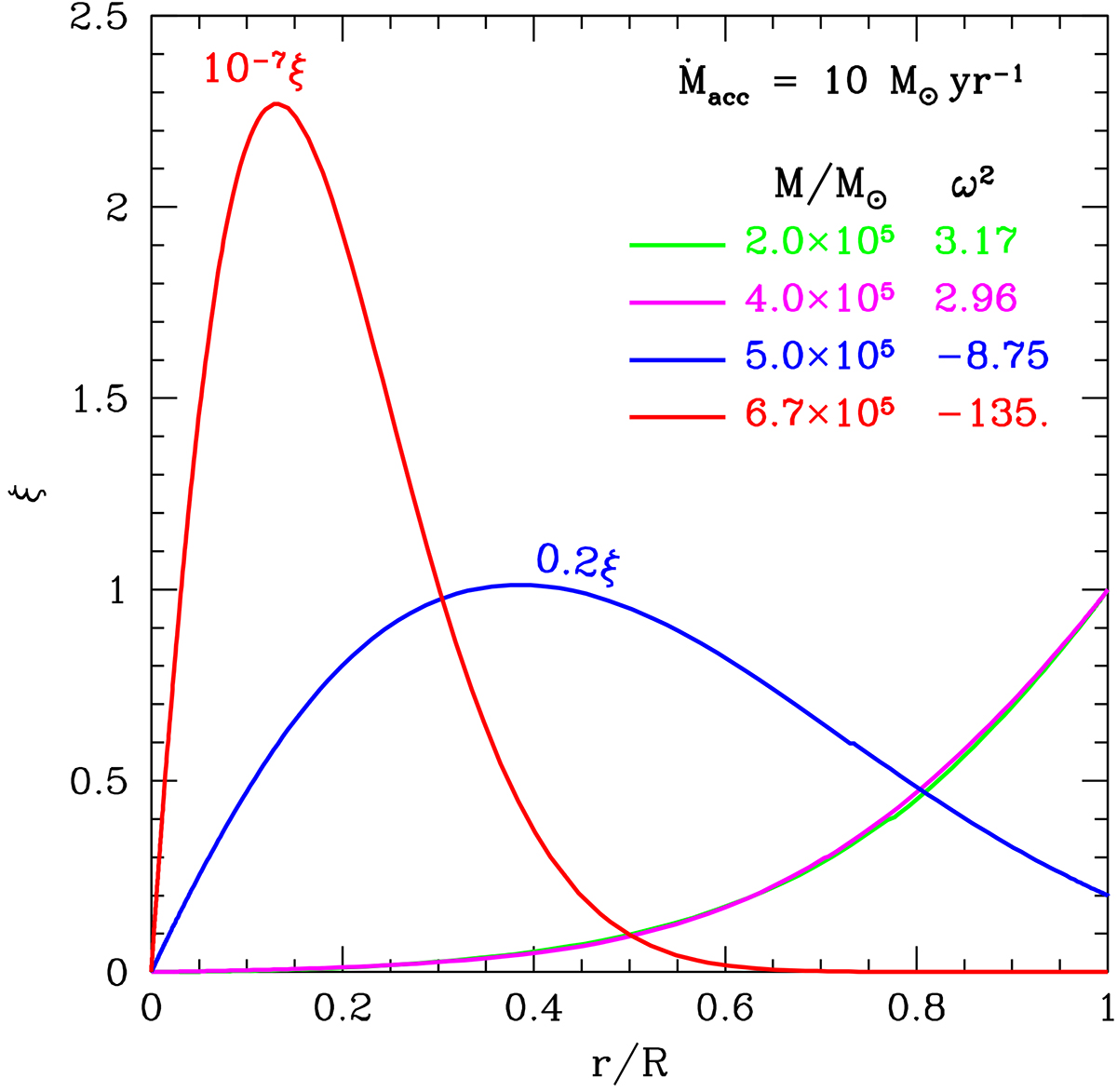
Fig. 3.

Download original image
Displacement, ξ, of the radial fundamental mode as a function of the distance from the center in some models with an accretion rate of 10 M⊙/yr. The displacement is normalised to ξ = 1 at the surface. For unstable modes (ω2 < 0), ξ is scaled by a factor to fit it in the figure.
Current usage metrics show cumulative count of Article Views (full-text article views including HTML views, PDF and ePub downloads, according to the available data) and Abstracts Views on Vision4Press platform.
Data correspond to usage on the plateform after 2015. The current usage metrics is available 48-96 hours after online publication and is updated daily on week days.
Initial download of the metrics may take a while.