Open Access

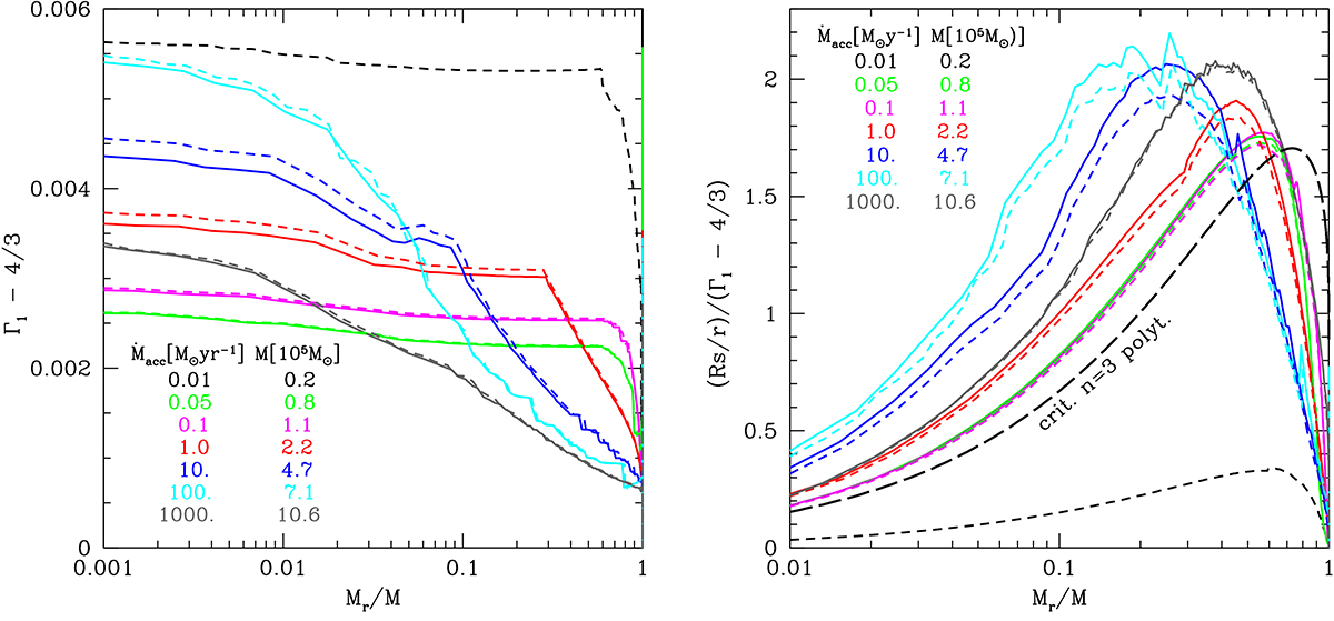
Fig. 4.

image

Download original image

Left: difference of the adiabatic exponent, Γ1, from 4/3 as a function of Mr/M for selected models. Solid and dashed lines indicate unstable and stable models against the GR instability, respectively. Accretion rates are color-coded, as is indicated. Right: quantity, Q, defined in Eq. (12) is plotted as a function of Mr/M for the structures of SMSs with various accretion rates. Unstable and stable structures are plotted with solid and short-dashed lines, respectively. These curves are compared with the long-dashed black line representing Qcrit (Eq. (13)) that corresponds to the Q for the critical n = 3 polytrope.

Current usage metrics show cumulative count of Article Views (full-text article views including HTML views, PDF and ePub downloads, according to the available data) and Abstracts Views on Vision4Press platform.

Data correspond to usage on the plateform after 2015. The current usage metrics is available 48-96 hours after online publication and is updated daily on week days.

Initial download of the metrics may take a while.