Fig. 3

Download original image
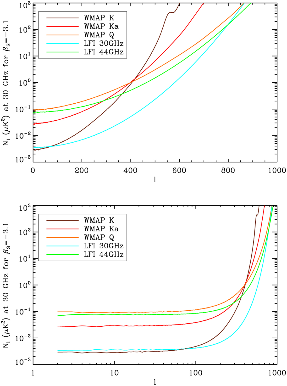
Beam-corrected noise spectra for the WMAP and Planck channels used in this work, rescaled to equivalent 30 GHz noise assuming a synchrotron spectral index of −3.1. The relative sensitivity of the different channels strongly depends on the harmonic scale, ℓ. On the largest scales, the WMAP K band and the LFI 30 GHz channels have a comparable mean synchrotron sensitivity (with, however, a strong pixel dependence, as is seen in Figs. 1 and 2. At ℓ ≃ 800, however, the WMAP Q and LFI 44 GHz are about as sensitive as the LFI 30 GHz channel, and much more sensitive than the WMAP K band.
Current usage metrics show cumulative count of Article Views (full-text article views including HTML views, PDF and ePub downloads, according to the available data) and Abstracts Views on Vision4Press platform.
Data correspond to usage on the plateform after 2015. The current usage metrics is available 48-96 hours after online publication and is updated daily on week days.
Initial download of the metrics may take a while.