Open Access

Fig. 7

image

Download original image

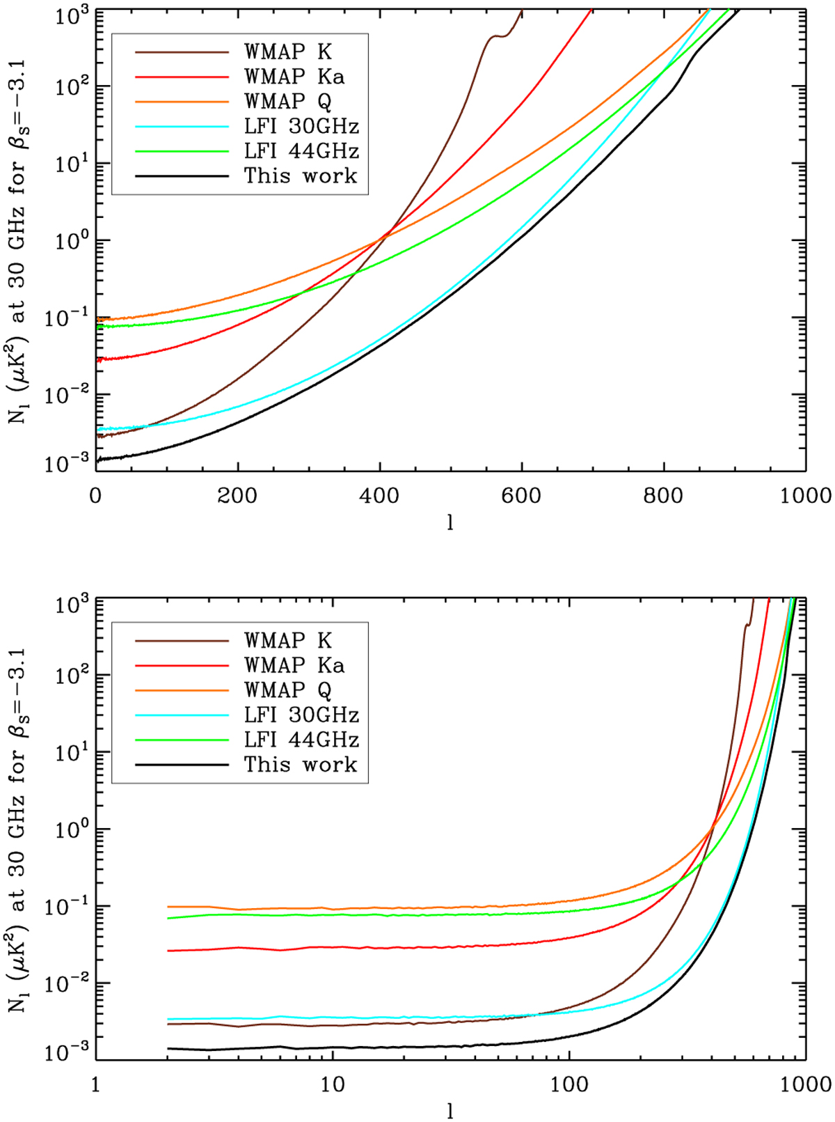
Beam-corrected noise spectra for the WMAP and Planck channels used in this work, rescaled to equivalent 30 GHz noise assuming a synchrotron spectral index of −3.1, as in Fig. 3. An extra black curve shows the noise spectrum of the final composite synchrotron map obtained in this work, which near-optimally combines all observations.

Current usage metrics show cumulative count of Article Views (full-text article views including HTML views, PDF and ePub downloads, according to the available data) and Abstracts Views on Vision4Press platform.

Data correspond to usage on the plateform after 2015. The current usage metrics is available 48-96 hours after online publication and is updated daily on week days.

Initial download of the metrics may take a while.