Open Access
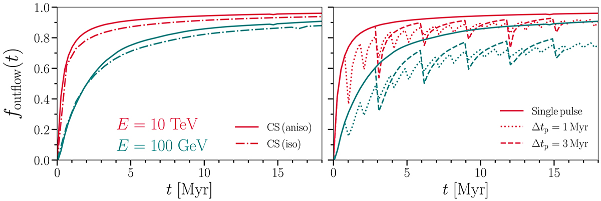
Fig. 4.

Download original image
Evolution of foutflow as a function of time and for various parameters. The left panel presents the influence of the propagation model (i.e. either anisotropic or isotropic) for our 29 pc resolution, single-pulse run (s29pc). The right panel shows the influence of the intermittence of the source.
Current usage metrics show cumulative count of Article Views (full-text article views including HTML views, PDF and ePub downloads, according to the available data) and Abstracts Views on Vision4Press platform.
Data correspond to usage on the plateform after 2015. The current usage metrics is available 48-96 hours after online publication and is updated daily on week days.
Initial download of the metrics may take a while.