Fig. 5.

Download original image
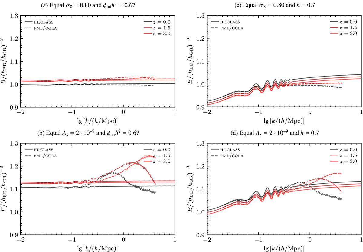
Matter power spectrum boost (15) with different parameter transformations θGR = θGR(θBD), where ( or
) and (
or
). Requiring equal σ8 (instead of equal As) flattens the boost in the nonlinear regime, while requiring equal ϕinih2 (instead of equal h) synchronizes the sound horizon and avoids rapid baryon acoustic oscillations.
Current usage metrics show cumulative count of Article Views (full-text article views including HTML views, PDF and ePub downloads, according to the available data) and Abstracts Views on Vision4Press platform.
Data correspond to usage on the plateform after 2015. The current usage metrics is available 48-96 hours after online publication and is updated daily on week days.
Initial download of the metrics may take a while.