Open Access
Fig. A.1

Download original image
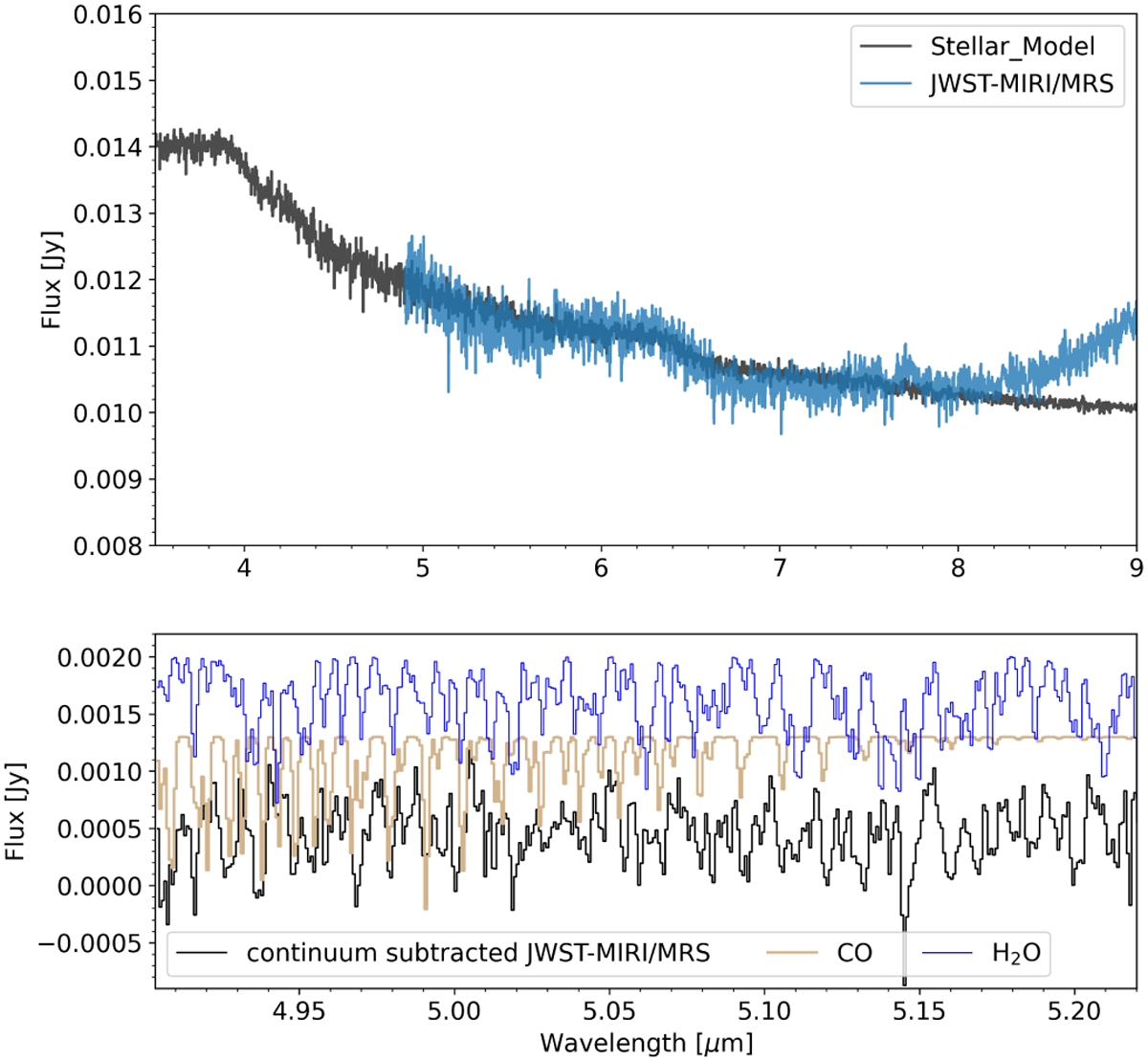
Stellar contribution to the JWST-MIRI/MRS spectrum. Top panel: JWST-MIRI/MRS spectrum of Sz28 and the modelled stellar spectrum, which has an offset of 0.009 Jy. Bottom panel: CO and H2O absorption slabs and the continuum-subtracted JWST-MIRI/MRS spectrum, highlighting their respective presence.
Current usage metrics show cumulative count of Article Views (full-text article views including HTML views, PDF and ePub downloads, according to the available data) and Abstracts Views on Vision4Press platform.
Data correspond to usage on the plateform after 2015. The current usage metrics is available 48-96 hours after online publication and is updated daily on week days.
Initial download of the metrics may take a while.