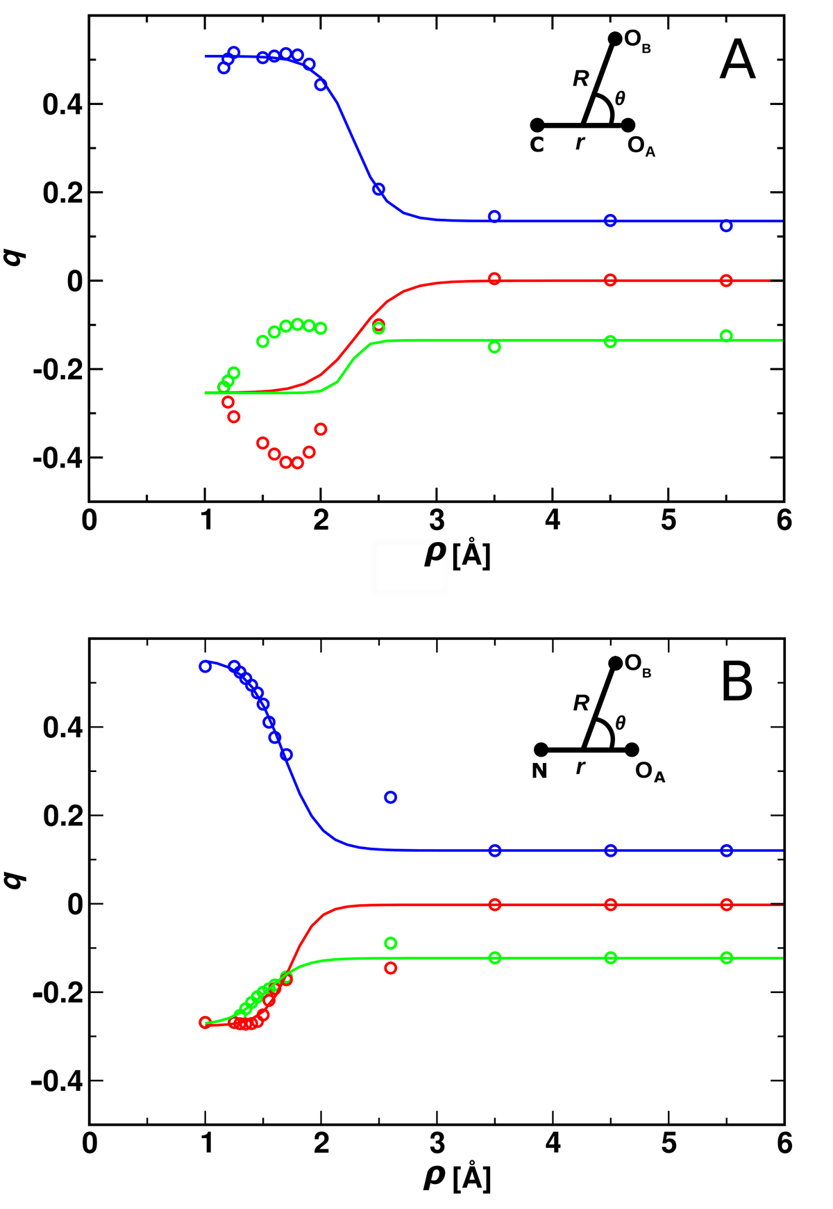
Fig. A.1.

Download original image
Change in charges of the atoms adsorbed to the 10 nearest H2O molecules for formation of CO2 (panel A) and NO2 (panel B) as a function of ρ (C–OB or N–OB) distance. At low temperatures, the reaction probability completely depends on the diffusion of species for which charges fit well at asymptotic. At close range (ρ ∼ 2 Å and shorter) bonded interactions dominate. Finally, at equilibrium, correct charges are achieved by the fitted function. Filled circles and solid line refers to ab initio determined and fitted charges, respectively. Color code: C and N atoms (blue) and atomic oxygen OB (red).
Current usage metrics show cumulative count of Article Views (full-text article views including HTML views, PDF and ePub downloads, according to the available data) and Abstracts Views on Vision4Press platform.
Data correspond to usage on the plateform after 2015. The current usage metrics is available 48-96 hours after online publication and is updated daily on week days.
Initial download of the metrics may take a while.