Fig. 4.

Download original image
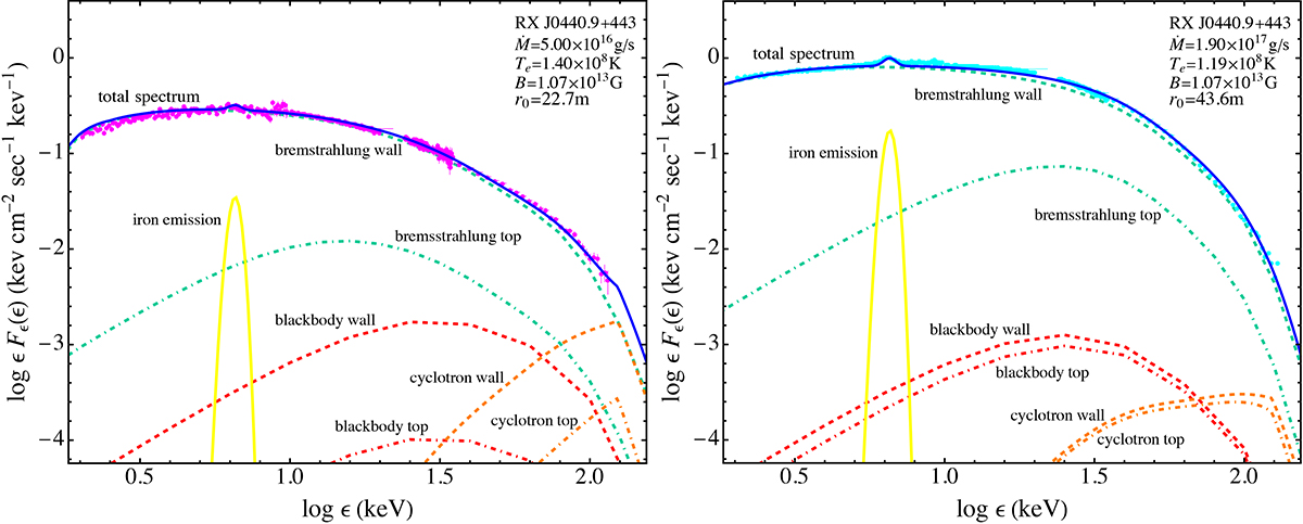
Theoretical X-ray spectrum computed using the BW22 model, compared with Insight-HXMT data for RX J0440.9+443, during two epochs of the 2022–2023 giant outburst. The magenta points in the left panel refer to the low state (MJD 59948), with luminosity LX = 9.23 × 1036 erg s−1, and the cyan points in the right panel refer to the high state (MJD 59981), with luminosity LX = 3.44 × 1037 erg s−1. The theoretical spectral components computed using the BW22 model, corresponding to the reprocessing of bremsstrahlung, cyclotron, and blackbody seed photons escaping through the walls and top of the conical accretion column, are indicated. The solid blue curves denote the total spectra.
Current usage metrics show cumulative count of Article Views (full-text article views including HTML views, PDF and ePub downloads, according to the available data) and Abstracts Views on Vision4Press platform.
Data correspond to usage on the plateform after 2015. The current usage metrics is available 48-96 hours after online publication and is updated daily on week days.
Initial download of the metrics may take a while.