Fig. 8.

Download original image
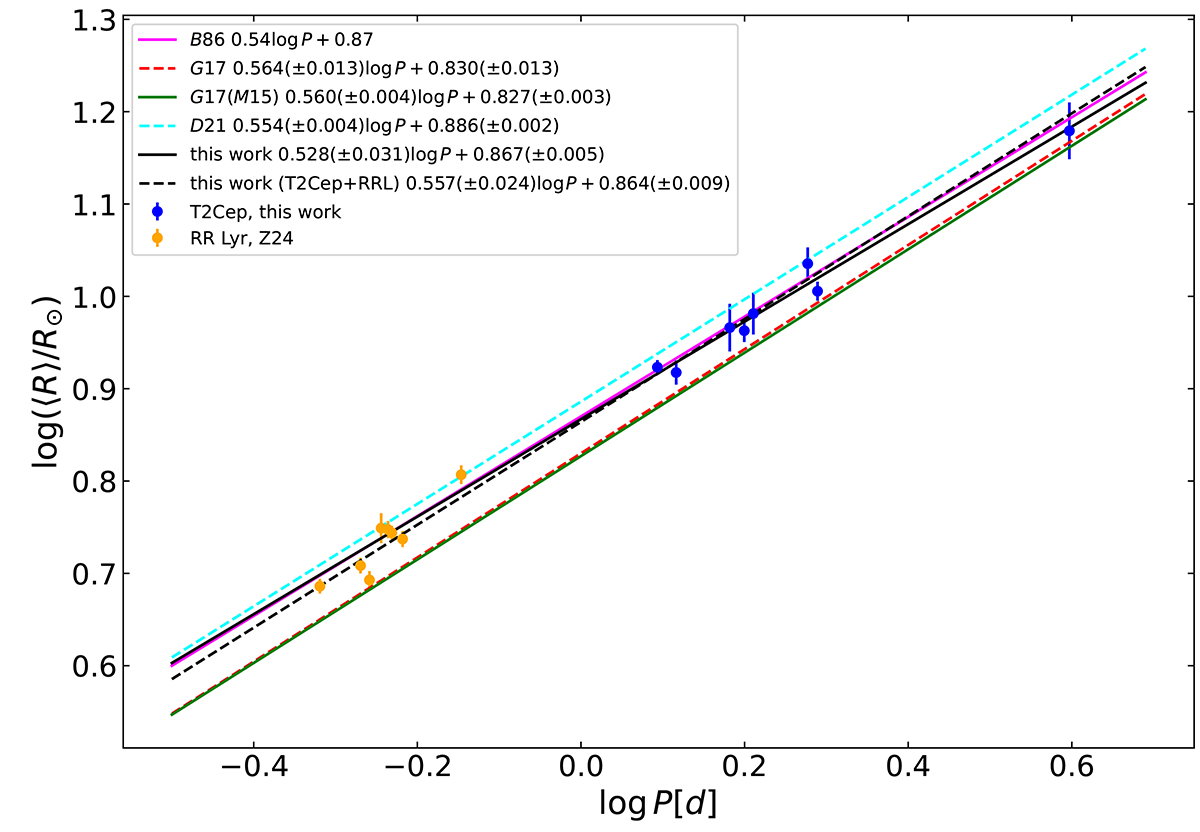
Period-radius relation for BL Her type stars and the common relation for BL Her and RR Lyr stars based on radii obtained in this work (blue points) and in (Zgirski et al. 2024, orange points). For comparison, we have plotted the relations from the literature: B86 is the empirical relation Burki & Meylan (1986); G17 and G17(M15) are empirical and theoretical relations from Groenewegen & Jurkovic (2017), respectively; and D21 is the theoretical relation from Das et al. (2021).
Current usage metrics show cumulative count of Article Views (full-text article views including HTML views, PDF and ePub downloads, according to the available data) and Abstracts Views on Vision4Press platform.
Data correspond to usage on the plateform after 2015. The current usage metrics is available 48-96 hours after online publication and is updated daily on week days.
Initial download of the metrics may take a while.