Open Access

Fig. 1

image

Download original image

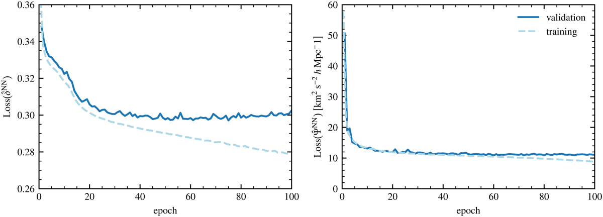
Loss functions as a function of training epochs. Left panel: loss function of the reconstructed density field, given in Eq. (6), in the validation (solid blue) and training (dashed light blue) sets of mocks. Right panel: same for the peculiar velocity potential field, given in Eq. (7).

Current usage metrics show cumulative count of Article Views (full-text article views including HTML views, PDF and ePub downloads, according to the available data) and Abstracts Views on Vision4Press platform.

Data correspond to usage on the plateform after 2015. The current usage metrics is available 48-96 hours after online publication and is updated daily on week days.

Initial download of the metrics may take a while.