Open Access

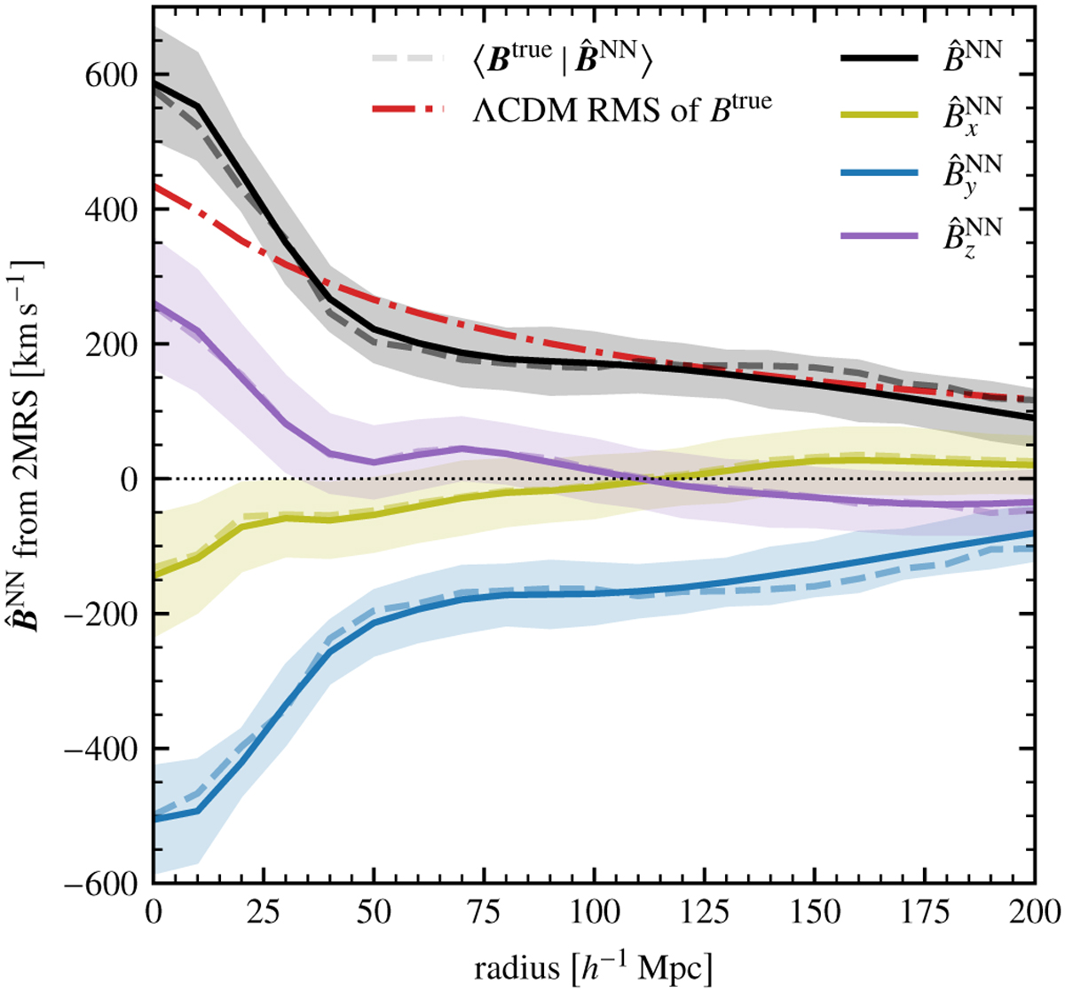
Fig. 9

image

Download original image

Neural network-reconstructed 2MRS bulk flow amplitude and components (black and colored solid lines, respectively) relative to the CMB in spheres of different radii around the Local Group. The shaded areas mark the 1 σ uncertainty. The conditional mean of the true mock bulk flows given the reconstructed bulk flow is shown as dashed lines. The ΛCDM expectation of the true bulk flow RMS is shown as the red dash-dotted line. For reference, the horizontal dotted line marks a value of zero.

Current usage metrics show cumulative count of Article Views (full-text article views including HTML views, PDF and ePub downloads, according to the available data) and Abstracts Views on Vision4Press platform.

Data correspond to usage on the plateform after 2015. The current usage metrics is available 48-96 hours after online publication and is updated daily on week days.

Initial download of the metrics may take a while.