Fig. 11.

Download original image
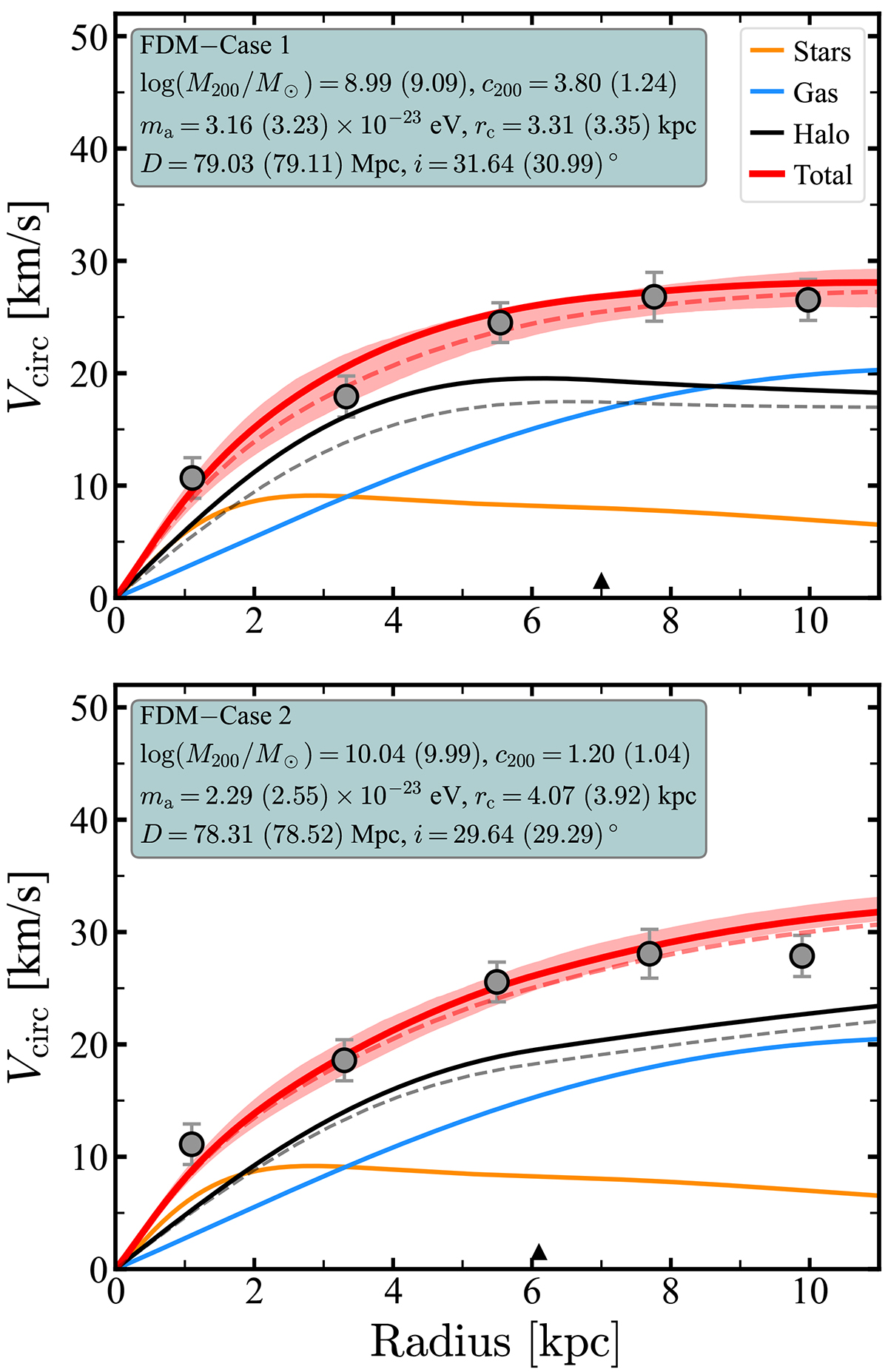
Mass models for a FDM halo. The top panel is Case 1, when M200 is completely free (and the cosmological baryon fraction is not obeyed), while the bottom panel is Case 2, imposing a lower bound in M200, min. Curves are as in Figure 9. The black triangles indicate the position of rt, the transition radius between the soliton and the NFW halo.
Current usage metrics show cumulative count of Article Views (full-text article views including HTML views, PDF and ePub downloads, according to the available data) and Abstracts Views on Vision4Press platform.
Data correspond to usage on the plateform after 2015. The current usage metrics is available 48-96 hours after online publication and is updated daily on week days.
Initial download of the metrics may take a while.