Open Access
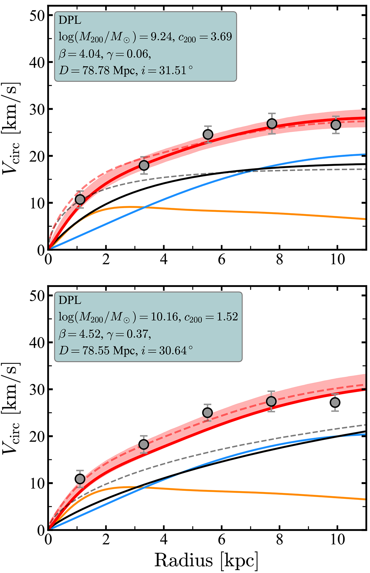
Fig. C.1.

Download original image
CDM mass models for a DPL halo. The top panel shows the results when M200 is completely free, while the bottom panel imposes a lower bound in M200, min. Curves are as in Figure 9.
Current usage metrics show cumulative count of Article Views (full-text article views including HTML views, PDF and ePub downloads, according to the available data) and Abstracts Views on Vision4Press platform.
Data correspond to usage on the plateform after 2015. The current usage metrics is available 48-96 hours after online publication and is updated daily on week days.
Initial download of the metrics may take a while.