Fig. 1.

Download original image
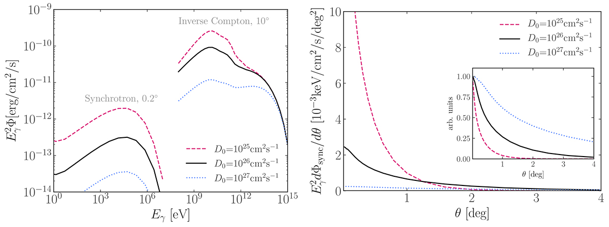
Effect of the diffusion coefficient on the Geminga’s halo properties. Left: Spectral energy distribution of the Geminga pulsar halo for the synchrotron and ICS emissions, as integrated within an angular radius of 0.2° and 10°, respectively, for different values of the diffusion coefficient at 1 GeV (D0). Right: Surface brightness of the Geminga synchrotron halo integrated over the energy range Eγ = [10–40] keV for different D0. The inset shows the flux profile normalised at θ = 0, in arbitrary units.
Current usage metrics show cumulative count of Article Views (full-text article views including HTML views, PDF and ePub downloads, according to the available data) and Abstracts Views on Vision4Press platform.
Data correspond to usage on the plateform after 2015. The current usage metrics is available 48-96 hours after online publication and is updated daily on week days.
Initial download of the metrics may take a while.