Fig. 2.

Download original image
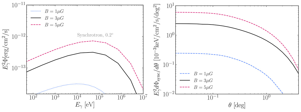
Effect of the magnetic field value on the properties of Geminga’s synchrotron halo. Left: SEDs of the Geminga pulsar halo for the synchrotron emissions integrated over an angular radius of 0.2° for different values of the magnetic field B. Right: Surface brightness of the Geminga synchrotron halo integrated over the energy range Eγ = [10−40] keV for different B. We note the double log scale.
Current usage metrics show cumulative count of Article Views (full-text article views including HTML views, PDF and ePub downloads, according to the available data) and Abstracts Views on Vision4Press platform.
Data correspond to usage on the plateform after 2015. The current usage metrics is available 48-96 hours after online publication and is updated daily on week days.
Initial download of the metrics may take a while.