Fig. 8.

Download original image
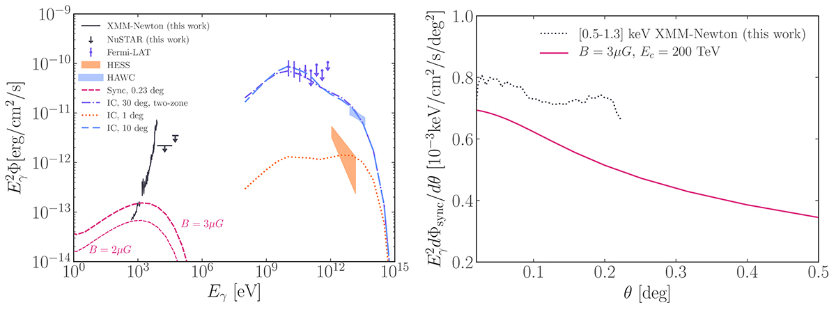
Geminga pulsar halo multi-wavelength SED and X-ray surface brightness. Left panel: Interpretation of all available Geminga pulsar halo multi-wavelength SED data, from the gamma-ray inverse Compton emission (Fermi-LAT, H.E.S.S., HAWC) to the X-ray upper limits (XMM-Newton, NuSTAR) as obtained in this work. The inverse Compton and synchrotron emissions are obtained within a model in which electrons and positron pairs diffuse in a low diffusion zone, see text for details on the model parameters. Right panel: Comparison of the Geminga’s synchrotron halo surface brightness with the XMM-Newton upper limits on the angular profile.
Current usage metrics show cumulative count of Article Views (full-text article views including HTML views, PDF and ePub downloads, according to the available data) and Abstracts Views on Vision4Press platform.
Data correspond to usage on the plateform after 2015. The current usage metrics is available 48-96 hours after online publication and is updated daily on week days.
Initial download of the metrics may take a while.