Open Access
Fig. 9.

Download original image
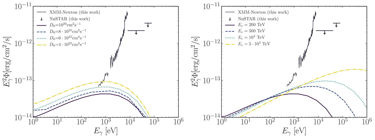
Synchrotron emission from the Geminga pulsar halo as compared to the upper limits in the X-ray band obtained in this work using XMM-Newton and NuSTAR data when varying the diffusion coefficient D0 (left panel) and the energy cut-off of the electron source term (right panel). See text for details.
Current usage metrics show cumulative count of Article Views (full-text article views including HTML views, PDF and ePub downloads, according to the available data) and Abstracts Views on Vision4Press platform.
Data correspond to usage on the plateform after 2015. The current usage metrics is available 48-96 hours after online publication and is updated daily on week days.
Initial download of the metrics may take a while.