Fig. 2.

Download original image
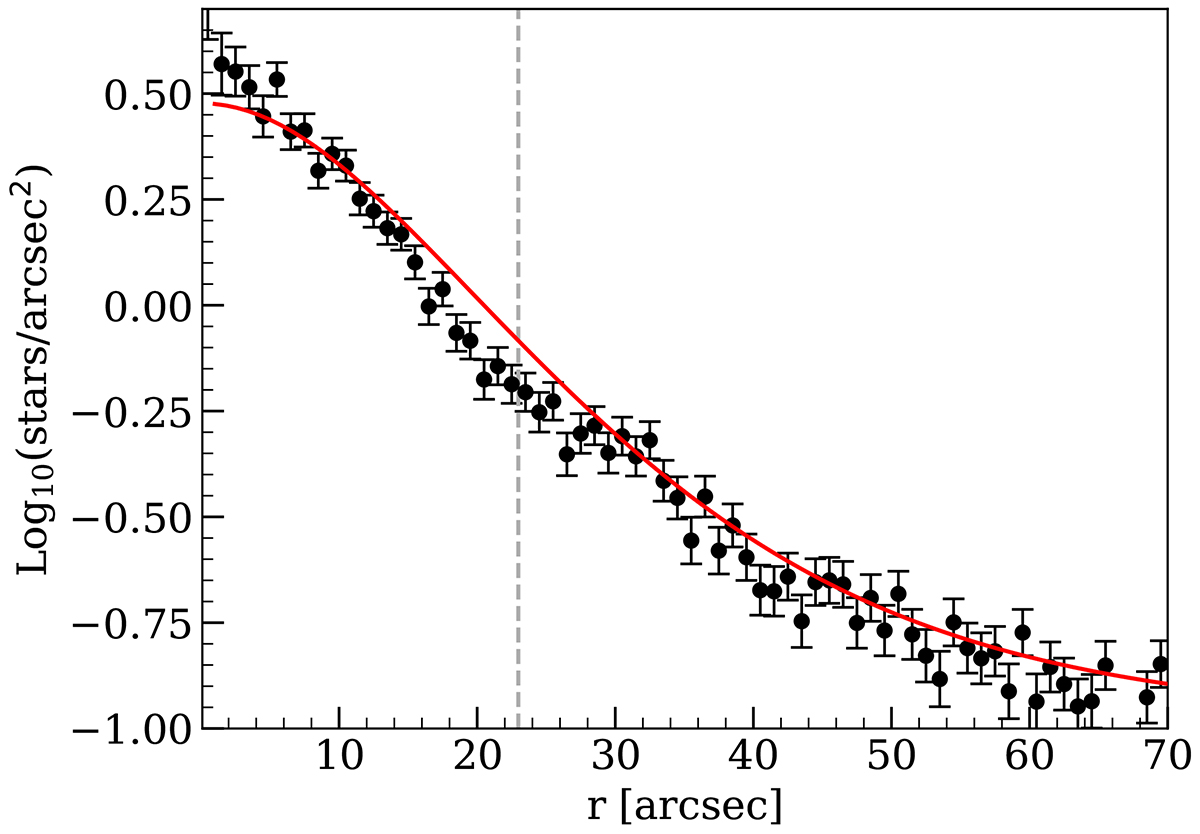
Radial surface density profile of NGC 1850 created from elliptical annuli of size 1 arcsec (individual points with error bars). The red solid line follows the best-fit Plummer profile. The vertical dashed line indicates the location of the scale radius rh. Radial surface density profile of NGC 1850 created from elliptical annuli of size 1 arcsec (individual points with error bars). The red solid line follows the best-fit Plummer profile. The vertical dashed line indicates the location of the scale radius rh.
Current usage metrics show cumulative count of Article Views (full-text article views including HTML views, PDF and ePub downloads, according to the available data) and Abstracts Views on Vision4Press platform.
Data correspond to usage on the plateform after 2015. The current usage metrics is available 48-96 hours after online publication and is updated daily on week days.
Initial download of the metrics may take a while.