Open Access
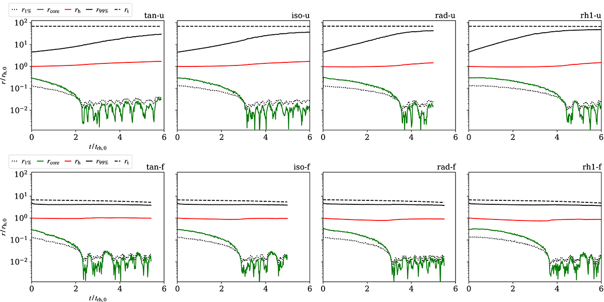
Fig. 3.

Download original image
Time evolution of the radial structure of the underfilling SCs (top row) and the filling SCs (bottom row). We show the core radius (as calculated by NBODY6++GPU), the 1% and 99% L.r., the half-mass radius, and the tidal radius (see also the legend).
Current usage metrics show cumulative count of Article Views (full-text article views including HTML views, PDF and ePub downloads, according to the available data) and Abstracts Views on Vision4Press platform.
Data correspond to usage on the plateform after 2015. The current usage metrics is available 48-96 hours after online publication and is updated daily on week days.
Initial download of the metrics may take a while.