Fig. 2.

Download original image
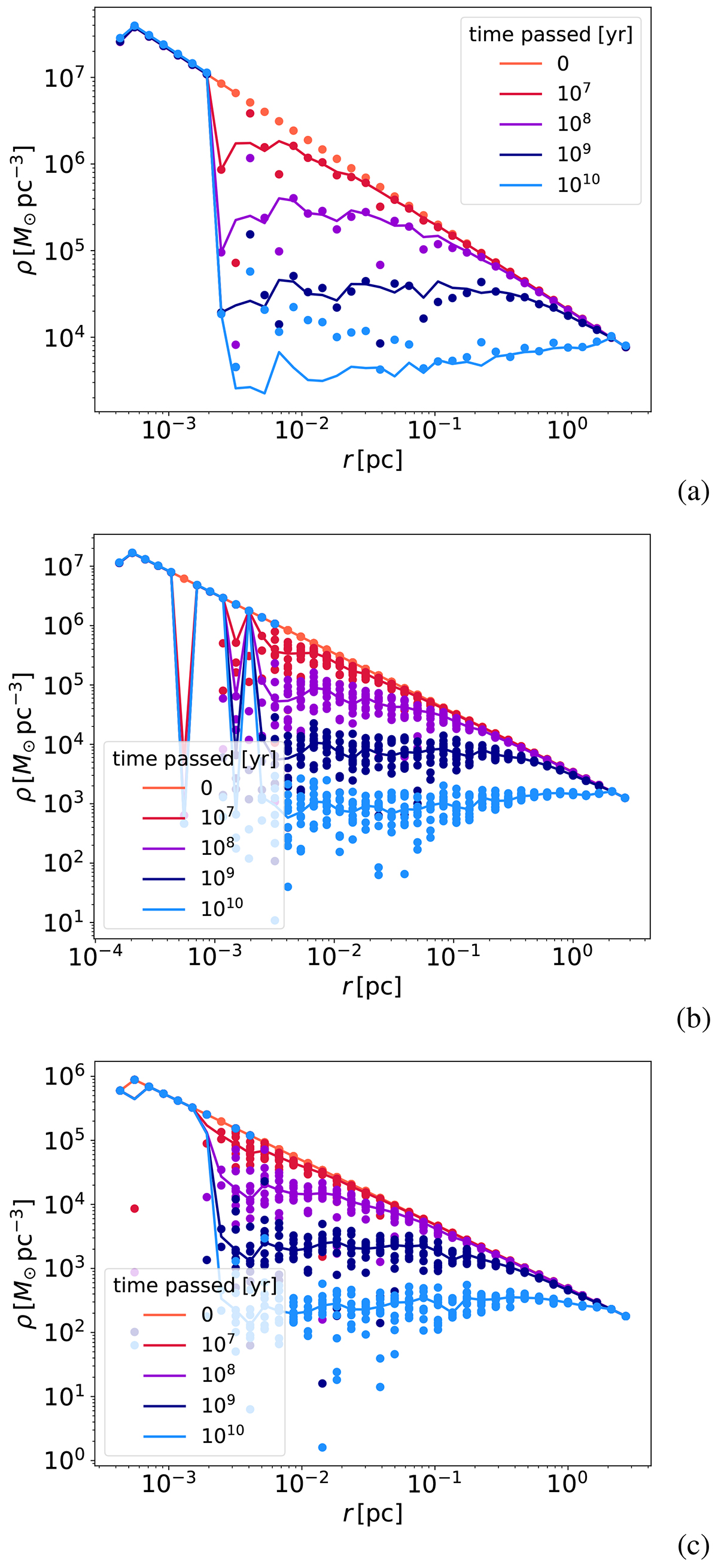
Stellar density profiles with 0, 107, 108, 109, and 1010 years passed for (a) M• = 108 M⊙, (b) M• = 109 M⊙, and (c) M∙ = 1010 M⊙. The purpose of these profiles is to provide an idea of how stellar density profiles can change over time as the depletion of stars from collisions is balanced by the continuous formation of new stars.
Current usage metrics show cumulative count of Article Views (full-text article views including HTML views, PDF and ePub downloads, according to the available data) and Abstracts Views on Vision4Press platform.
Data correspond to usage on the plateform after 2015. The current usage metrics is available 48-96 hours after online publication and is updated daily on week days.
Initial download of the metrics may take a while.