Fig. 6.

Download original image
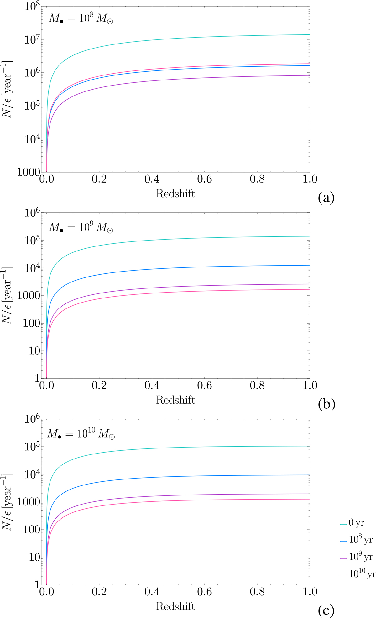
Cumulative number of collision events for galaxies with (a) M• = 108 M⊙, (b) M• = 109 M⊙, and (c) M∙ = 1010 M⊙, for 0, 108, 109, and 1010 years passed. We made the simplifying assumption that the detection efficiencym ϵ(z), is a constant to move it out of the integral in Eq. (17) (realistically, for a survey like the LSST, we expect it to decline monotonically with redshift).
Current usage metrics show cumulative count of Article Views (full-text article views including HTML views, PDF and ePub downloads, according to the available data) and Abstracts Views on Vision4Press platform.
Data correspond to usage on the plateform after 2015. The current usage metrics is available 48-96 hours after online publication and is updated daily on week days.
Initial download of the metrics may take a while.