Fig. 2

Download original image
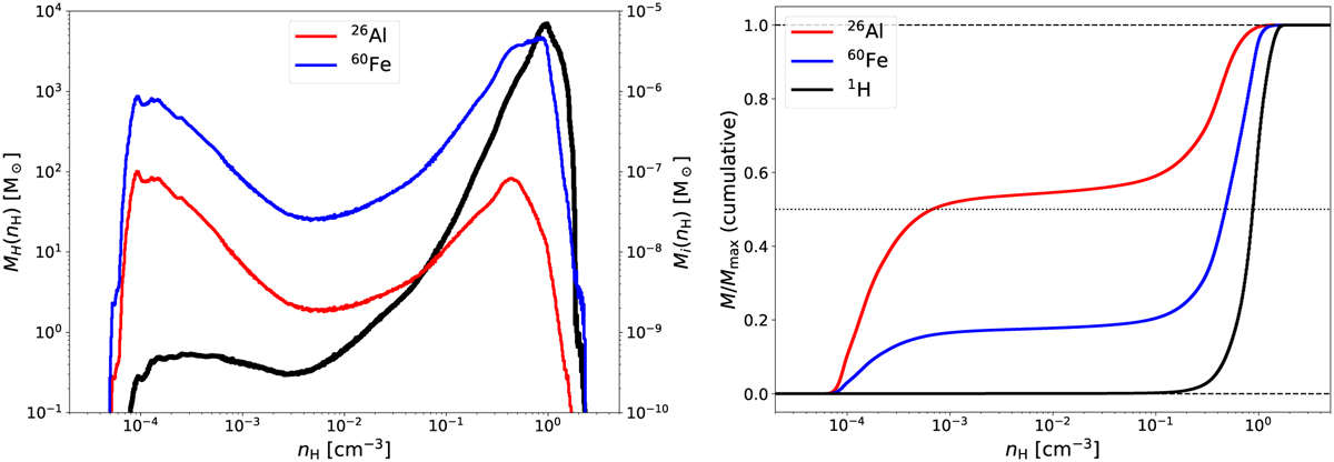
Mass distributions in the Local Bubble. Left: mass distributions of hydrogen (black; left axis), and 26Al (red) and 60Fe (blue; both isotopes right axis) as a function of nH in the hydrodynamics simulation by Schulreich et al. (2023). Note that the right axis is scaled by 10−9 to the left axis to allow a visual comparison. Right: cumulative distribution of the hydrogen, 26Al and 60Fe masses from the left panel with maximum (total) masses of 3.5 × 105 M⊙, 1.6 × 10−5 M⊙ and 4.9 × 10−4 M⊙, respectively. Only cells for which the flow speed is higher than 1 km s−1 are used to ensure that the static background medium is not considered as part of the Local Bubble.
Current usage metrics show cumulative count of Article Views (full-text article views including HTML views, PDF and ePub downloads, according to the available data) and Abstracts Views on Vision4Press platform.
Data correspond to usage on the plateform after 2015. The current usage metrics is available 48-96 hours after online publication and is updated daily on week days.
Initial download of the metrics may take a while.