Fig. 13.

Download original image
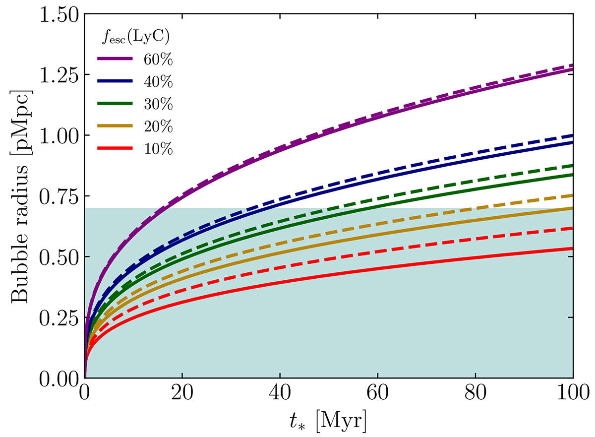
Radius of spherical bubbles hypothetically ionized by COLA1 as a function of the age parameter t*, for different values of the LyC escape fraction. The dashed lines account for the contribution from the 4 galaxies at z ≈ 6.6 with measured sizes, in addition to COLA1. The shaded area limits the required bubble size necessary to explain COLA1’s Lyα profile, as predicted by Mason & Gronke (2020).
Current usage metrics show cumulative count of Article Views (full-text article views including HTML views, PDF and ePub downloads, according to the available data) and Abstracts Views on Vision4Press platform.
Data correspond to usage on the plateform after 2015. The current usage metrics is available 48-96 hours after online publication and is updated daily on week days.
Initial download of the metrics may take a while.