Open Access
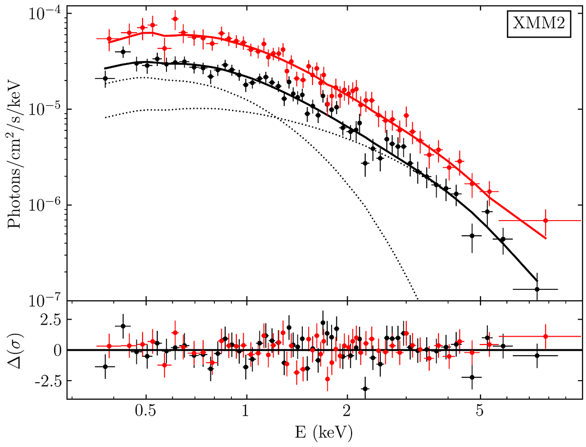
Fig. 4.

Download original image
X-ray spectrum (upper panels) and residuals (lower panels) of the source labelled X4 in XMM2. Shown in black are the EPIC/pn and in red the merged EPIC/MOS data. The solid lines show the best-fitting models. The dotted lines indicate the two components for the pn data.
Current usage metrics show cumulative count of Article Views (full-text article views including HTML views, PDF and ePub downloads, according to the available data) and Abstracts Views on Vision4Press platform.
Data correspond to usage on the plateform after 2015. The current usage metrics is available 48-96 hours after online publication and is updated daily on week days.
Initial download of the metrics may take a while.