Fig. 11

Download original image
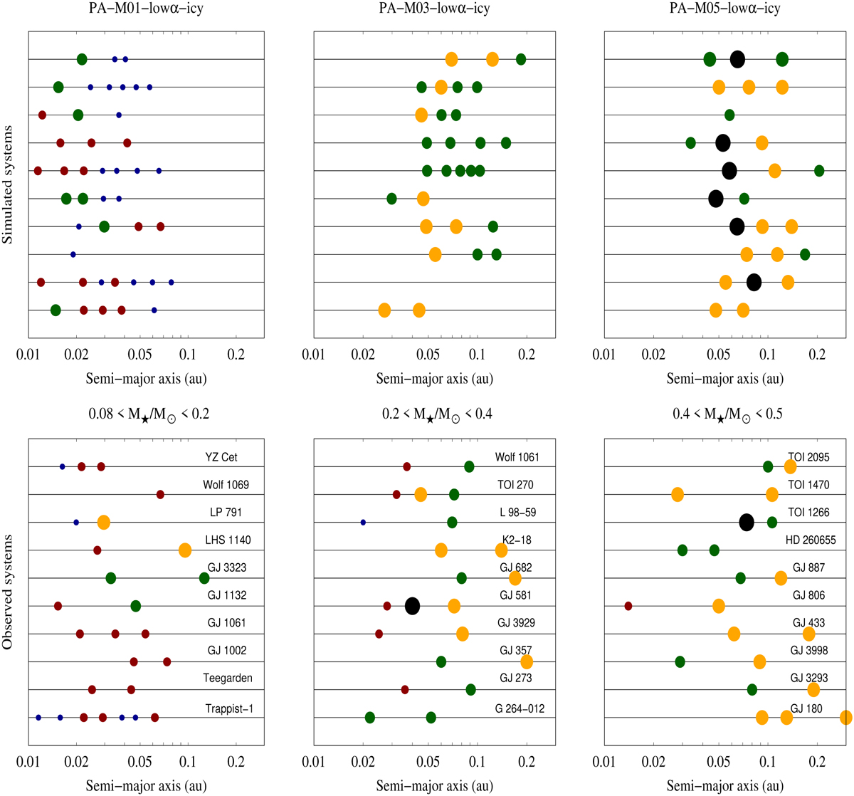
Planetary architectures around M dwarfs. Top panels: simulated planetary systems of each simulation of the scenarios that include pebble accretion and low gas disk viscosity for a star of 0.1 M⊙ (left), 0.3 M⊙ (middle), and 0.5 M⊙ (right). Bottom panels: observed planetary systems around different stellar masses: 0.08 < M★/M⊙ < 0.2 (left), 0.2 < M★/M⊙ < 0.4 (middle), and 0.4 < M★/M⊙ < 0.5 (right). Planets are discriminated by their masses (as in Figure 4): pMp < 1 M⊕ (blue dots), 1 < Mp/M⊕ < 2 (red dots), 2 < Mp/M⊕ < 5 (green dots), 5 < Mp/M⊕ < 10 (orange dots), and Mp/M⊕ < 20 (black dots). From left to right, panels in the same column present simulated and observed planetary systems around stars with analogous masses for better comparison.
Current usage metrics show cumulative count of Article Views (full-text article views including HTML views, PDF and ePub downloads, according to the available data) and Abstracts Views on Vision4Press platform.
Data correspond to usage on the plateform after 2015. The current usage metrics is available 48-96 hours after online publication and is updated daily on week days.
Initial download of the metrics may take a while.