Open Access

Fig. 1

image

Download original image

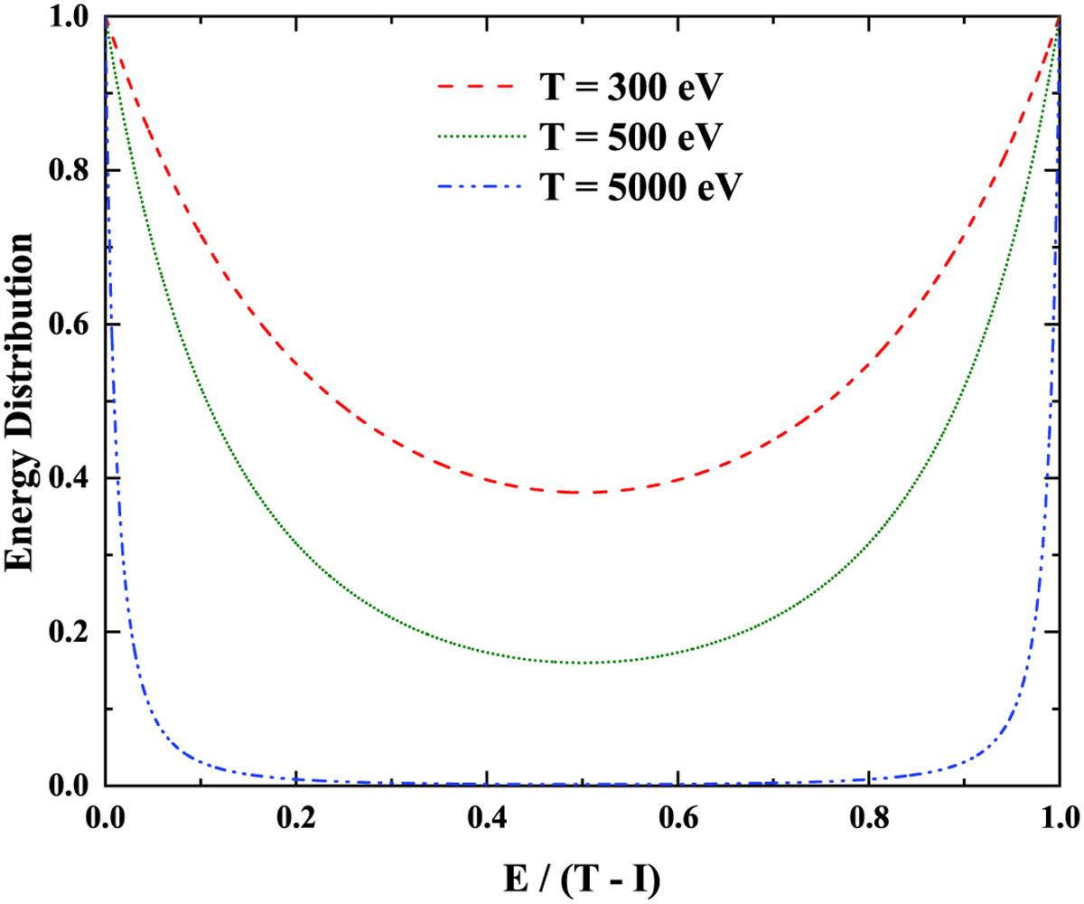
Energy distribution of the intermediate electron (with kinetic energy E) in the primary electron-impact single ionization (with ionization potential I) e + O4+ → 05+ + 2e for the incident energies T = 300 eV, 500 eV, and 5000 eV. The energy distribution depicted in Fig. 1 was reduced to a maximum of one.

Current usage metrics show cumulative count of Article Views (full-text article views including HTML views, PDF and ePub downloads, according to the available data) and Abstracts Views on Vision4Press platform.

Data correspond to usage on the plateform after 2015. The current usage metrics is available 48-96 hours after online publication and is updated daily on week days.

Initial download of the metrics may take a while.