Open Access
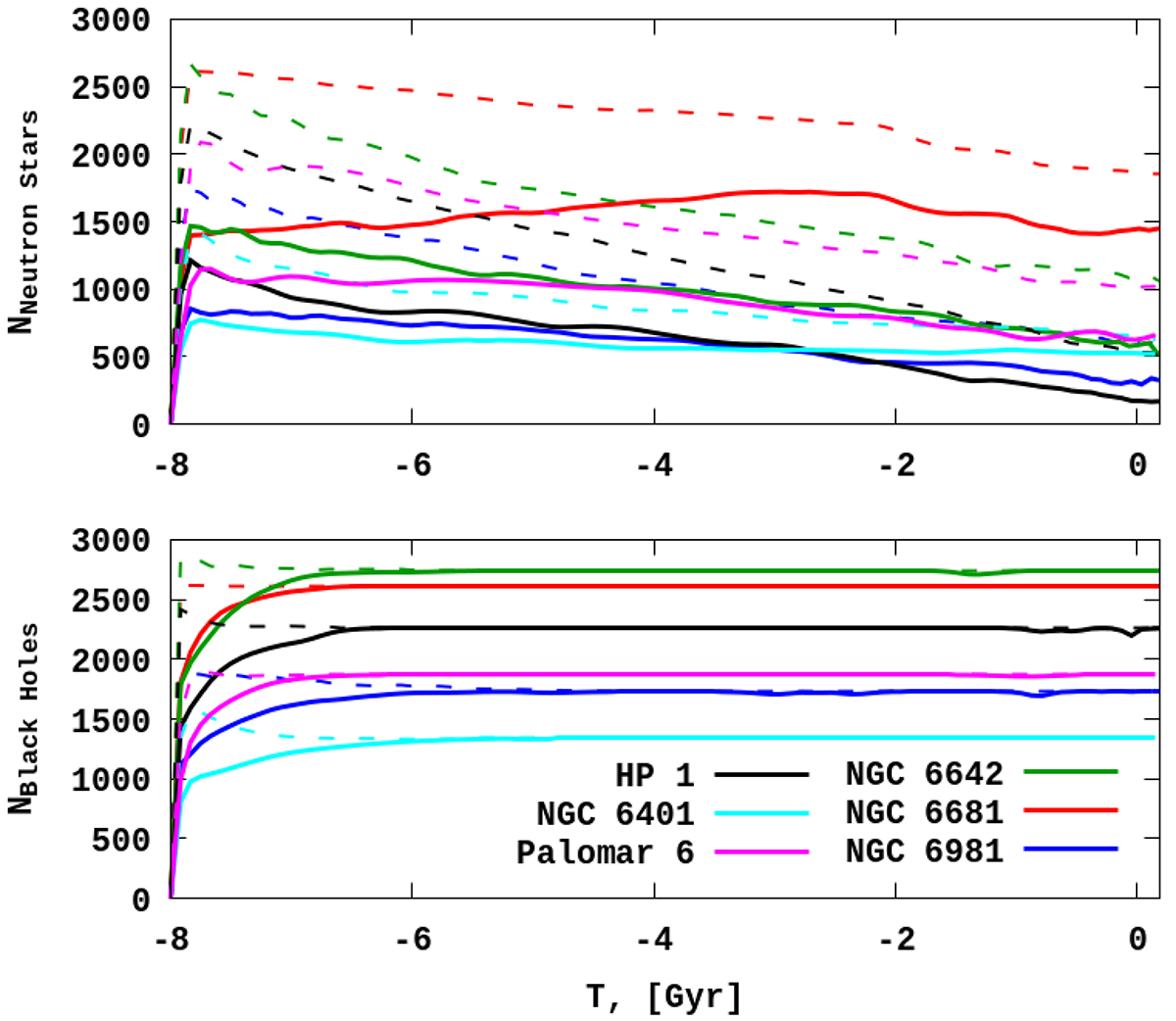
Fig. 5.

Download original image
Time evolution of the compact stellar remnants in the central part of the GCs up to rhm (solid lines) and inside rtid (dashed lines). Neutron stars are depicted in the upper panel, and black holes are shown in the bottom panel.
Current usage metrics show cumulative count of Article Views (full-text article views including HTML views, PDF and ePub downloads, according to the available data) and Abstracts Views on Vision4Press platform.
Data correspond to usage on the plateform after 2015. The current usage metrics is available 48-96 hours after online publication and is updated daily on week days.
Initial download of the metrics may take a while.