Fig. 3.

Download original image
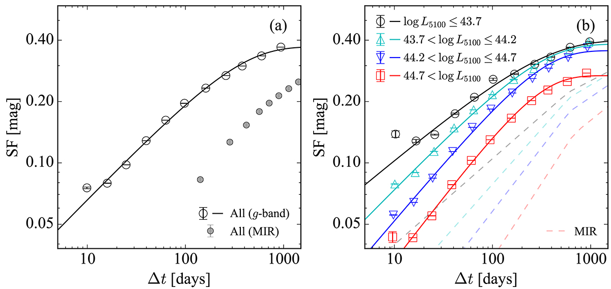
(a) Ensemble SFs of the entire sample. Open circles represent the SF for the optical data from ZTF, with the solid line denoting their fit to a broken power law. Filled circles give the SF for the MIR data from Son et al. (2023a). (b) Ensemble SFs of the subsamples binned by the continuum luminosity at 5100 Å. Open symbols and solid lines are the SFs and fitting results for the optical data, while the dashed lines show the corresponding SFs for the MIR data.
Current usage metrics show cumulative count of Article Views (full-text article views including HTML views, PDF and ePub downloads, according to the available data) and Abstracts Views on Vision4Press platform.
Data correspond to usage on the plateform after 2015. The current usage metrics is available 48-96 hours after online publication and is updated daily on week days.
Initial download of the metrics may take a while.