Open Access
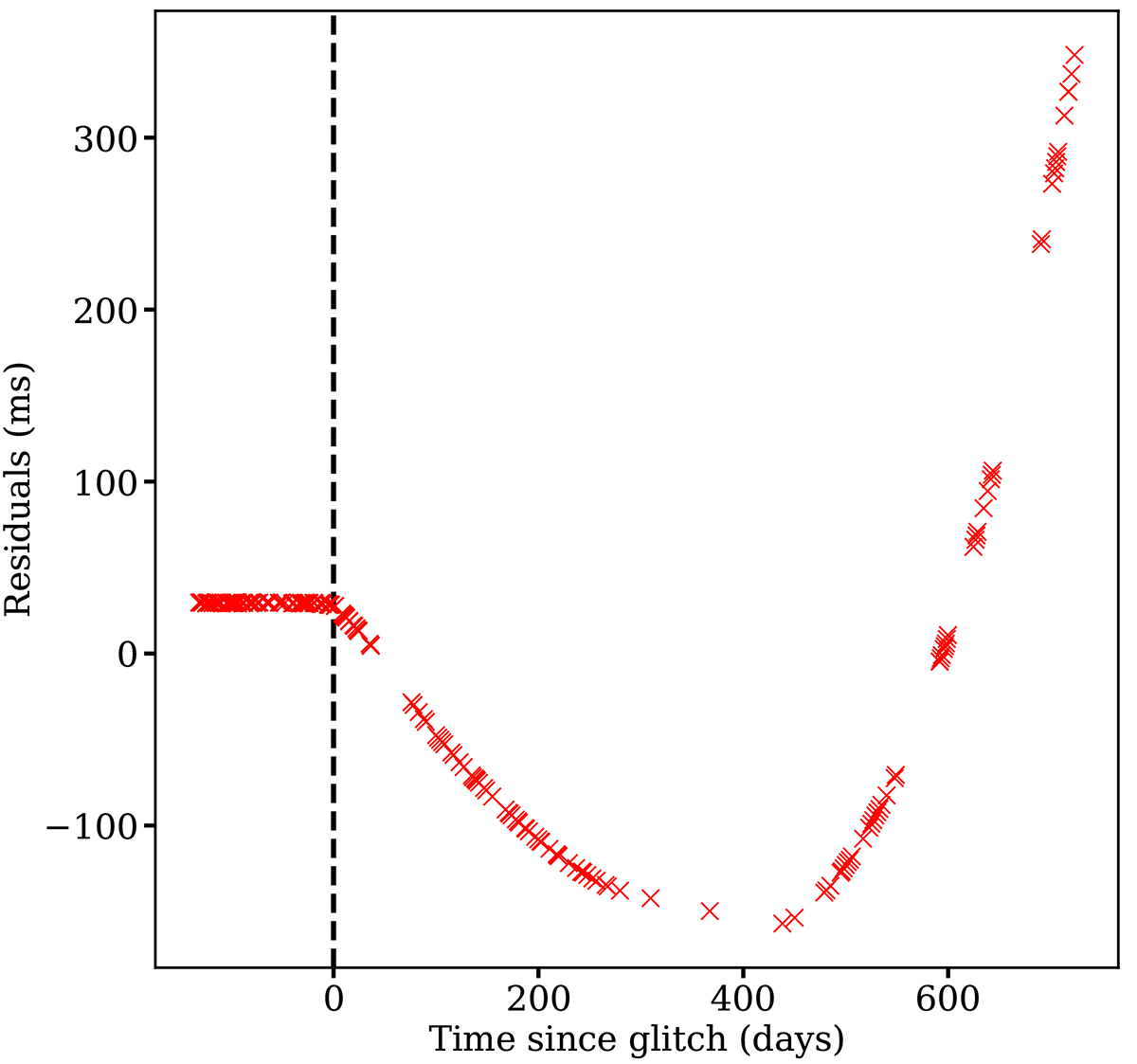
Fig. 4.

Download original image
Signature of a glitch with Δν > 0 and in the residuals. The residuals correspond to the glitch we reported on MJD 59204 in PSR J1048−5832 in Zubieta et al. (2024b).
Current usage metrics show cumulative count of Article Views (full-text article views including HTML views, PDF and ePub downloads, according to the available data) and Abstracts Views on Vision4Press platform.
Data correspond to usage on the plateform after 2015. The current usage metrics is available 48-96 hours after online publication and is updated daily on week days.
Initial download of the metrics may take a while.