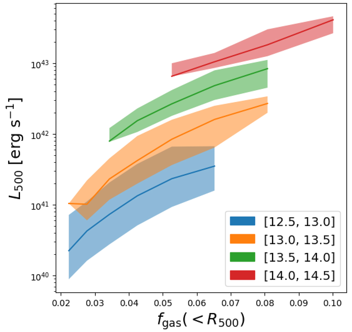
Fig. 12.

Download original image
Luminosity of the IGrM as a function of the fraction of hot gas within the same radius (i.e. R500). The halos are binned in logarithmic halo mass M200 (see legend). The shaded bands mark the 68th confidence intervals.
Current usage metrics show cumulative count of Article Views (full-text article views including HTML views, PDF and ePub downloads, according to the available data) and Abstracts Views on Vision4Press platform.
Data correspond to usage on the plateform after 2015. The current usage metrics is available 48-96 hours after online publication and is updated daily on week days.
Initial download of the metrics may take a while.