Fig. 8.

Download original image
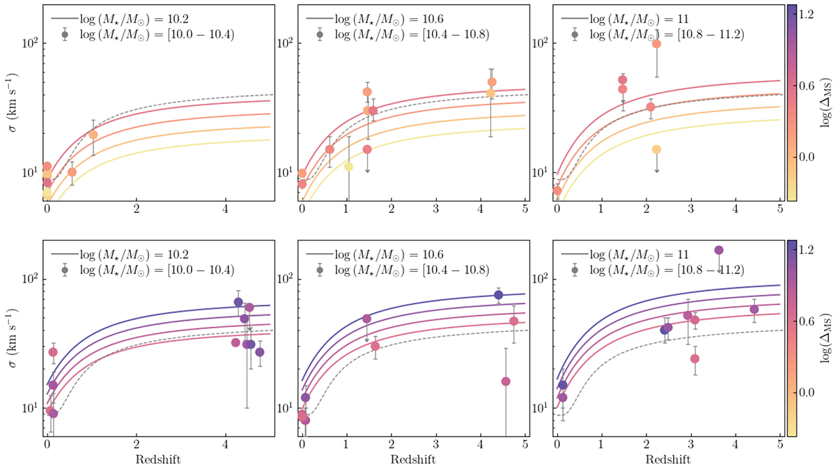
Comparison between the distribution of the extended sample in the σ − z plane and the model predictions presented in Section 5. The upper and bottom panels show the main-sequence and starbursts galaxies, respectively. From left to right, the panels show observations and model curves in three stellar mass bins, as indicated in the legend. The data and the curves are color-coded according to the ΔMS. For comparison, we show the best-fit empirical relation (see left panel in Fig. 2) with a gray dotted line.
Current usage metrics show cumulative count of Article Views (full-text article views including HTML views, PDF and ePub downloads, according to the available data) and Abstracts Views on Vision4Press platform.
Data correspond to usage on the plateform after 2015. The current usage metrics is available 48-96 hours after online publication and is updated daily on week days.
Initial download of the metrics may take a while.