Fig. 7.

Download original image
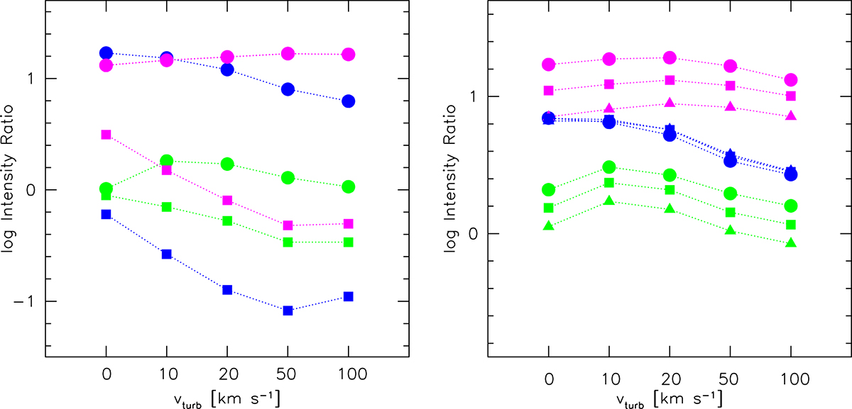
Behavior of the diagnostic ratio CIV/He IIλ1640 (magenta), CIV/Hβ (blue), RFeII (green) on a logarithmic scale vs. microturbulence velocity in km s−1. Left: using the solution for I Zw 1 (squares) and PHL 1092 (circles). Right: Using a low-ionization, high-density solution appropriate for xA sources (see text for details), with three different Z values: 200 Z⊙ (circles), 100 Z⊙ (squares), and 50 Z⊙ (triangles).
Current usage metrics show cumulative count of Article Views (full-text article views including HTML views, PDF and ePub downloads, according to the available data) and Abstracts Views on Vision4Press platform.
Data correspond to usage on the plateform after 2015. The current usage metrics is available 48-96 hours after online publication and is updated daily on week days.
Initial download of the metrics may take a while.