Fig. 2.

Download original image
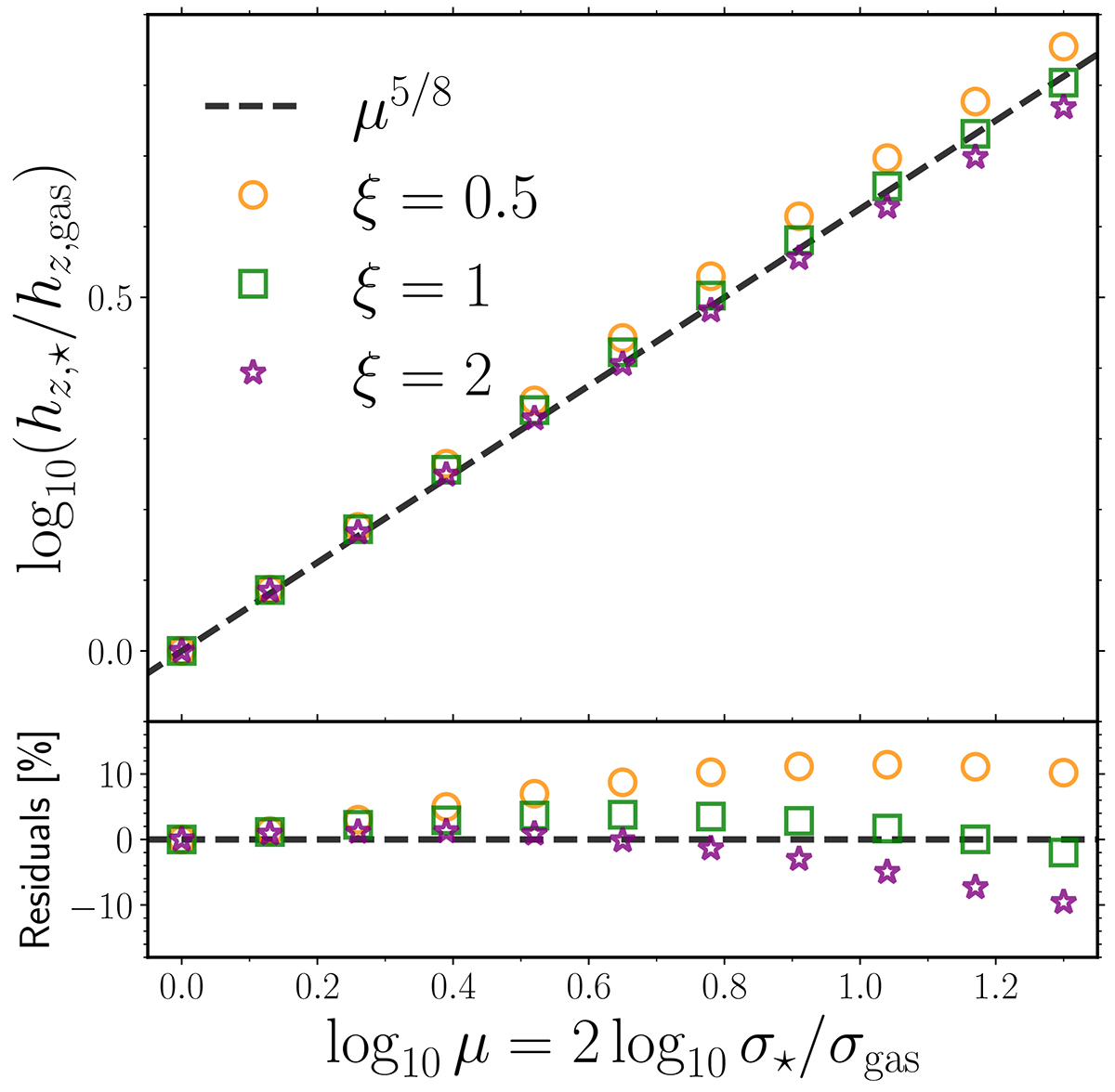
Upper panel: Stars-to-gas thickness ratio, hz, ⋆/hz, gas, as a function of the squared velocity-dispersion ratio, μ, for two-component isothermal slabs with different values of the midplane density ratio ξ (hz = h70%, defined by Eq. 7). Overplotted in grey is the power law, μ5/8. Lower panel: Percent residuals between the points and the power law of the upper panel.
Current usage metrics show cumulative count of Article Views (full-text article views including HTML views, PDF and ePub downloads, according to the available data) and Abstracts Views on Vision4Press platform.
Data correspond to usage on the plateform after 2015. The current usage metrics is available 48-96 hours after online publication and is updated daily on week days.
Initial download of the metrics may take a while.