Open Access
Fig. A.1.

Download original image
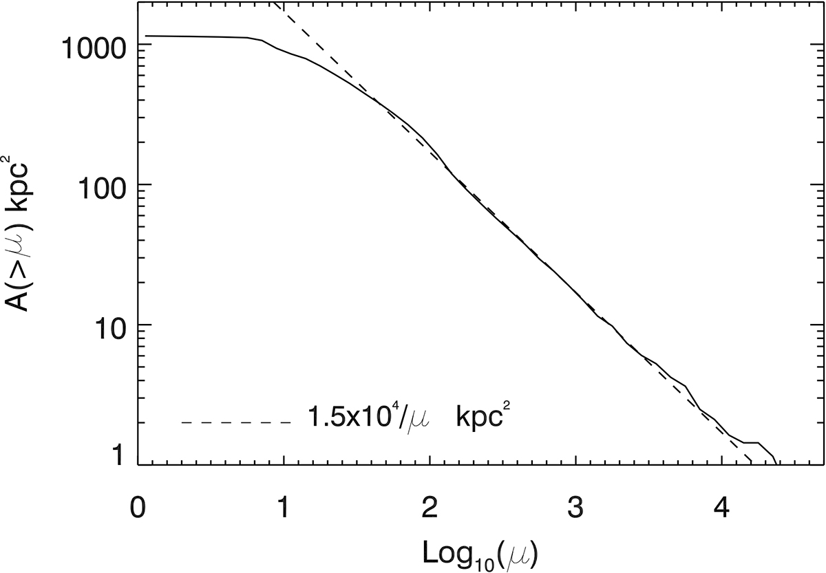
Area above a certain magnification in the Dragon arc. The solid line shows the area with magnification > μ computed in the image plane and in the region occupied by the Dragon arc. The dashed line is the simple power-law fit A(> μ) = 1.5 × 104/μ in kpc2.
Current usage metrics show cumulative count of Article Views (full-text article views including HTML views, PDF and ePub downloads, according to the available data) and Abstracts Views on Vision4Press platform.
Data correspond to usage on the plateform after 2015. The current usage metrics is available 48-96 hours after online publication and is updated daily on week days.
Initial download of the metrics may take a while.