Fig. 10.

Download original image
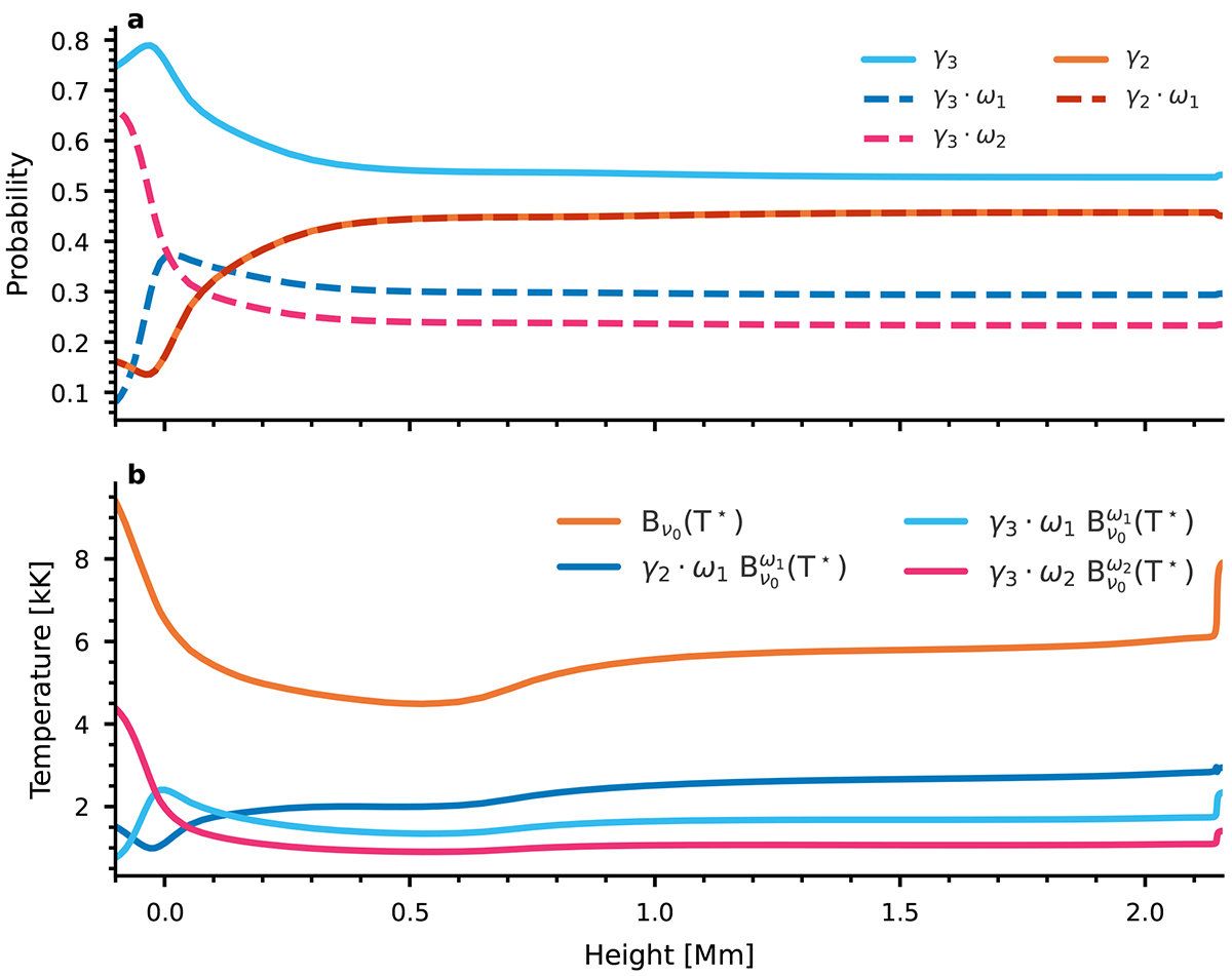
Interlocking source function description of the Ly-γ spectral line synthesized from the FALC atmosphere. Panel (a) shows the contribution to interlocking by the different intermediate states, expressed by Eq. (38) and higher-order paths, expressed by Eq. (41). γ2 and γ3 refers to the intermediate states n = 2 and n = 3. ω1 and ω2 connected to γ3 refer to the first-order path p31(1 − p25p52) and p34(1 − p25p52) and second-order path p32p21 and p32p24, respectively. ω1 connected to γ2 refers to the first-order path connected to p21(1 − p35p53) and p24(1 − p35p53). Panel (b) shows the contributions to the “total” interlocking source function by ω1 through the intermediate state n = 2 as well as ω1 and ω2 through the intermediate state n = 3.
Current usage metrics show cumulative count of Article Views (full-text article views including HTML views, PDF and ePub downloads, according to the available data) and Abstracts Views on Vision4Press platform.
Data correspond to usage on the plateform after 2015. The current usage metrics is available 48-96 hours after online publication and is updated daily on week days.
Initial download of the metrics may take a while.