Fig. 2.

Download original image
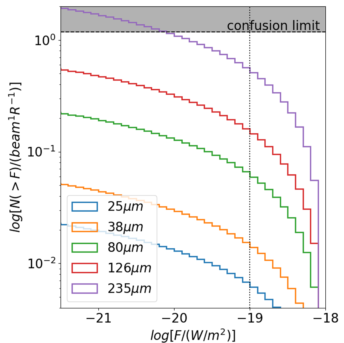
Cumulative line number counts per beam and resolution element. Numbers are shown at different wavelengths, as derived using SPRITZ. We do not expect FIRESS to be affected by line confusion down to at least 10−20 W/m2. The vertical dotted line shows the flux of 10−19 W/m2, reachable with FIRESS with one hour of integration time. The horizontal dashed line and the shaded region show the limit of 15/beam/R, above which PRIMA could be affected by line confusion at the longest wavelengths.
Current usage metrics show cumulative count of Article Views (full-text article views including HTML views, PDF and ePub downloads, according to the available data) and Abstracts Views on Vision4Press platform.
Data correspond to usage on the plateform after 2015. The current usage metrics is available 48-96 hours after online publication and is updated daily on week days.
Initial download of the metrics may take a while.