Open Access

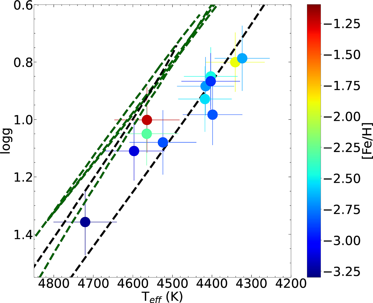
Fig. 3.

image

Download original image

Kiel diagram of the MIKE targets colour-coded by the MIKE metallicity of the targets. As a comparison, an old very metal-poor isochrone from Padova ([Fe/H] = −2.0, 11 Gyr, dark green dashed line, Bressan et al. 2012) and two MESA/MIST isochrones ([Fe/H] = −2.5, −2.0, 12.6 Gyr, black dashed lines, Dotter 2016; Choi et al. 2016).

Current usage metrics show cumulative count of Article Views (full-text article views including HTML views, PDF and ePub downloads, according to the available data) and Abstracts Views on Vision4Press platform.

Data correspond to usage on the plateform after 2015. The current usage metrics is available 48-96 hours after online publication and is updated daily on week days.

Initial download of the metrics may take a while.