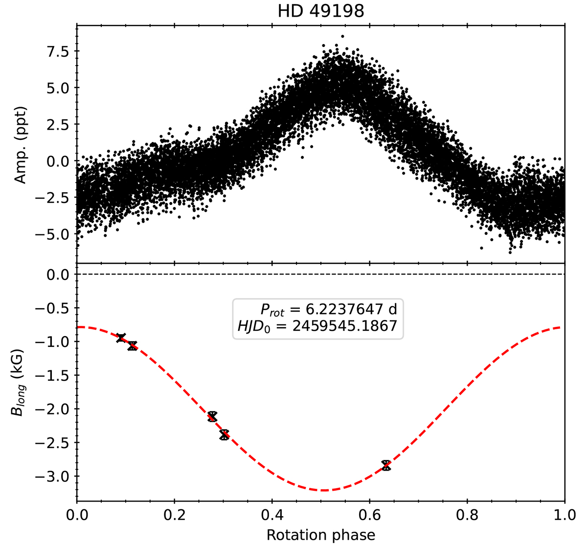
Fig. 3.

Download original image
TESS photometric light curve of HD 49198 (top panel), phase-folded with respect to the rotation period, utilising data from all currently available sectors (s20, s60, and s73). Longitudinal magnetic field values (bottom panel) for HD 49198 with their respective error bars, phase-folded with respect to the rotation period and overplotted with a simple dipolar fit. The values for the rotation period (Prot) and initial heliocentric Julian date (HJD0) are provided for reference.
Current usage metrics show cumulative count of Article Views (full-text article views including HTML views, PDF and ePub downloads, according to the available data) and Abstracts Views on Vision4Press platform.
Data correspond to usage on the plateform after 2015. The current usage metrics is available 48-96 hours after online publication and is updated daily on week days.
Initial download of the metrics may take a while.