Fig. 4

Download original image
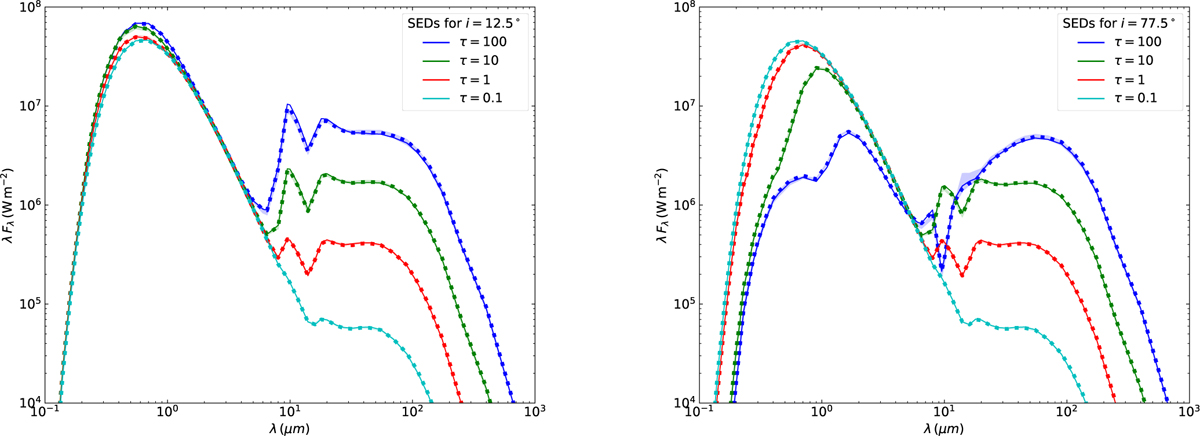
Results from the benchmark described by Pascucci et al. (2004). The simulation was performed on both a regular (cylindrical) and a tetrahedral grid in SKIRT and using six other radiative transfer codes. The figure shows the SED for two inclinations, i = 12.5° and i = 77.5°, relative to the disc, and for optical depths of 0.1, 1, 10, and 100. The solid and dotted lines represent the results using our grid and the regular grid in SKIRT, respectively. The coloured areas represent the minimum and maximum from the other radiative transfer codes’ benchmark results.
Current usage metrics show cumulative count of Article Views (full-text article views including HTML views, PDF and ePub downloads, according to the available data) and Abstracts Views on Vision4Press platform.
Data correspond to usage on the plateform after 2015. The current usage metrics is available 48-96 hours after online publication and is updated daily on week days.
Initial download of the metrics may take a while.