Open Access

Fig. 7

image

Download original image

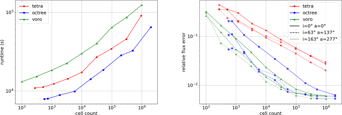
Comparison of the tetrahedral grid with the octree Voronoi and grids. Left: simulation runtime of our test model as a function of the number of grid cells. Right: mean of the relative flux residuals, compared pixel by pixel to the corresponding reference image for three sight lines, as a function of the number of grid cells.

Current usage metrics show cumulative count of Article Views (full-text article views including HTML views, PDF and ePub downloads, according to the available data) and Abstracts Views on Vision4Press platform.

Data correspond to usage on the plateform after 2015. The current usage metrics is available 48-96 hours after online publication and is updated daily on week days.

Initial download of the metrics may take a while.