Fig. 2

Download original image
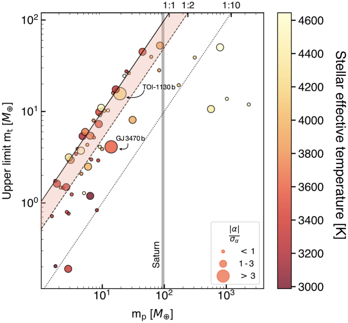
Upper limit of the trojan mass versus the mass of the confirmed planet. Black lines indicate equal mass ratios (solid line) along with the 1:2 (dashed) and 1:10 relations (dotted). The vertical grey solid line indicates the mass of Saturn. The light orange region corresponds to trojan masses higher than theoretically expected (between 1:1 and 1:2). The size of the symbols informs about the significance of the co-orbital candidate as shown in the legend. Color code represents the stellar effective temperature as shown in the color bar.
Current usage metrics show cumulative count of Article Views (full-text article views including HTML views, PDF and ePub downloads, according to the available data) and Abstracts Views on Vision4Press platform.
Data correspond to usage on the plateform after 2015. The current usage metrics is available 48-96 hours after online publication and is updated daily on week days.
Initial download of the metrics may take a while.