Open Access

Fig. 2.

image

Download original image

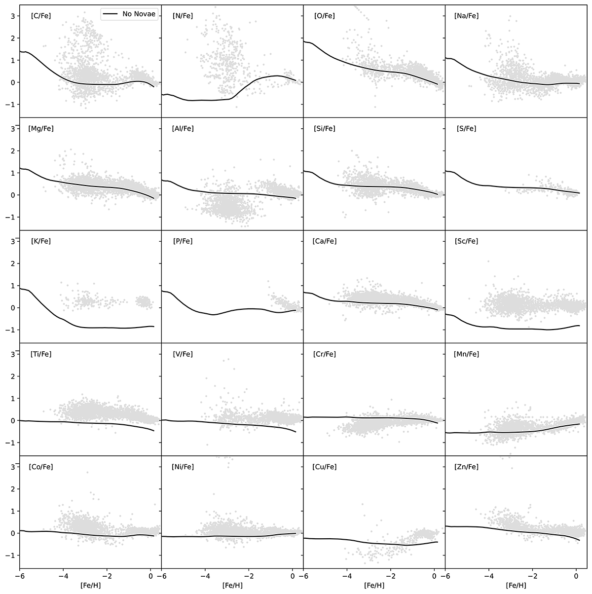
Galactic abundances of key elements used to validate our baseline model of the Milky Way, plotted with observational abundance data from NuPyCEE’s STELLAB module, where available (all but [P/Fe]; [P/Fe] abundance data are taken from Roederer et al. 2014; Maas et al. 2019, 2022; Nandakumar et al. 2022). The bulk galactic properties and elemental abundances for most key elements are satisfactorily reproduced. Notable exceptions such as K and Sc have been long established as problematic elements for contemporary stellar evolution and GCE codes (see, for example, Kobayashi et al. 2020).

Current usage metrics show cumulative count of Article Views (full-text article views including HTML views, PDF and ePub downloads, according to the available data) and Abstracts Views on Vision4Press platform.

Data correspond to usage on the plateform after 2015. The current usage metrics is available 48-96 hours after online publication and is updated daily on week days.

Initial download of the metrics may take a while.