Open Access
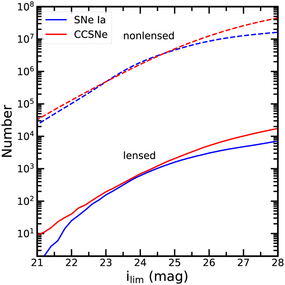
Fig. 3

Download original image
Detectable nonlensed and lensed SNe per year across the full sky as a function of i-band limiting magnitude. The dashed line represents the number of nonlensed SNe for SNe Ia and CCSNe, respectively. The solid line represents the number of lensed SNe for the SNe Ia and CCSNe, respectively.
Current usage metrics show cumulative count of Article Views (full-text article views including HTML views, PDF and ePub downloads, according to the available data) and Abstracts Views on Vision4Press platform.
Data correspond to usage on the plateform after 2015. The current usage metrics is available 48-96 hours after online publication and is updated daily on week days.
Initial download of the metrics may take a while.