Fig. 8

Download original image
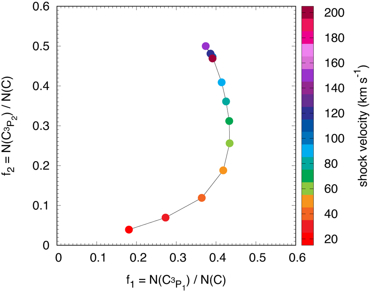
f1 and f2 column density ratios computed across shocks at different velocities. The column densities are integrated in the direction perpendicular to the shock front over gas with a proton density, . The colour of each point indicates the velocity of the shock. All other parameters are set to their standard values (see Table 2).
Current usage metrics show cumulative count of Article Views (full-text article views including HTML views, PDF and ePub downloads, according to the available data) and Abstracts Views on Vision4Press platform.
Data correspond to usage on the plateform after 2015. The current usage metrics is available 48-96 hours after online publication and is updated daily on week days.
Initial download of the metrics may take a while.