Fig. B.1

Download original image
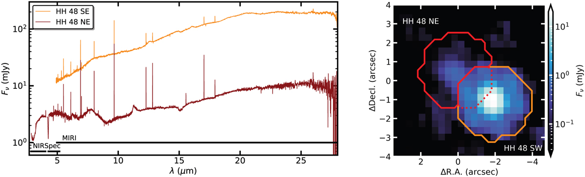
Left: The integrated spectrum of HH 48 NE (red) and HH 48 SW (orange). NIRSpec data of HH 48 SW are not available as a result of the smaller field of view of the NIRSpec instrument compared to MIRI. Right: Continuum image of the HH 48 system at 24 μm with the masks used to extract the source-integrated spectrum shown on the left.
Current usage metrics show cumulative count of Article Views (full-text article views including HTML views, PDF and ePub downloads, according to the available data) and Abstracts Views on Vision4Press platform.
Data correspond to usage on the plateform after 2015. The current usage metrics is available 48-96 hours after online publication and is updated daily on week days.
Initial download of the metrics may take a while.