Open Access
Fig. 4

Download original image
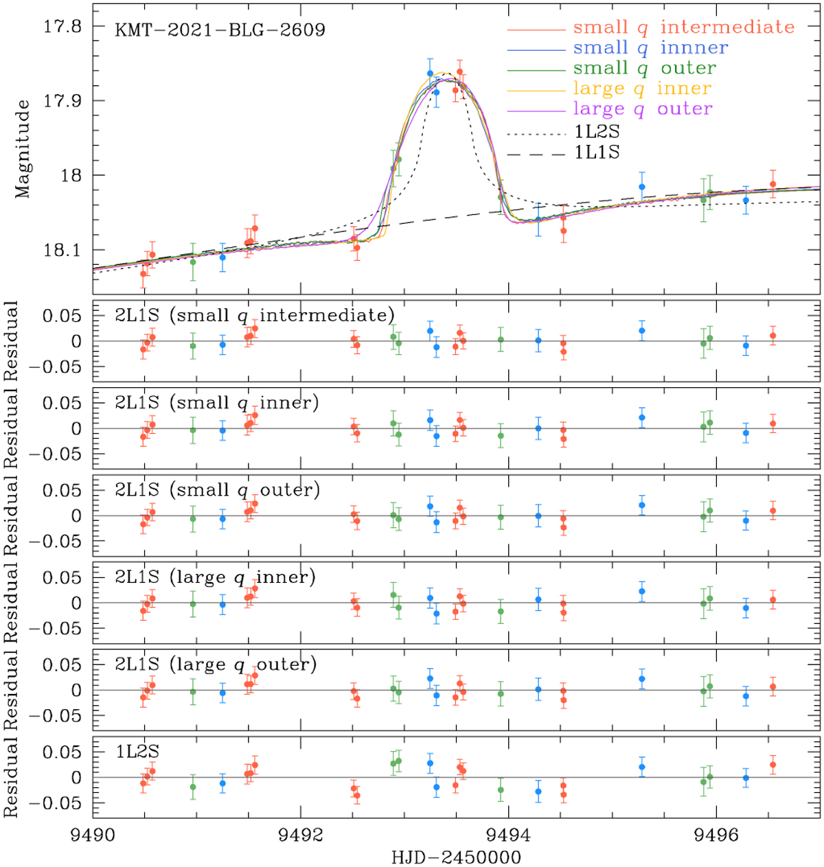
Zoomed-in view around the anomaly region of KMT-2021-BLG-2609. The data points are overlaid with the model curves representing the intermediate, inner, and outer 2L1S solutions, as well as the 1L1S and 1L2S solutions. The residuals from the individual models are displayed in the lower panels.
Current usage metrics show cumulative count of Article Views (full-text article views including HTML views, PDF and ePub downloads, according to the available data) and Abstracts Views on Vision4Press platform.
Data correspond to usage on the plateform after 2015. The current usage metrics is available 48-96 hours after online publication and is updated daily on week days.
Initial download of the metrics may take a while.