Fig. 3

Download original image
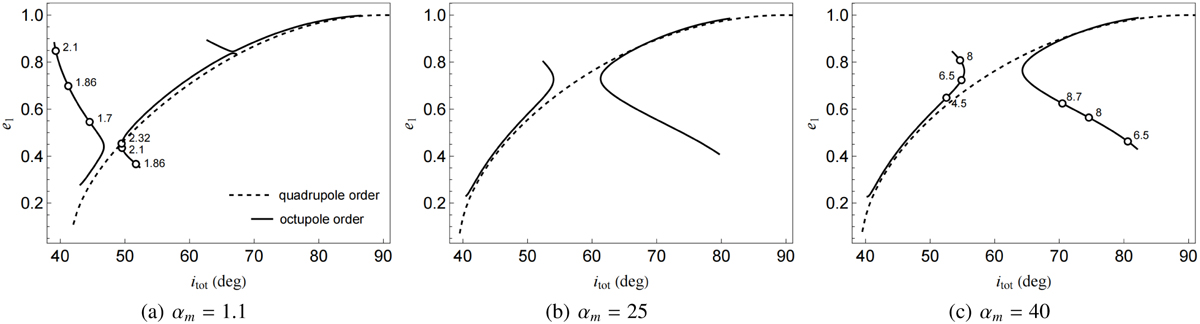
Distribution of ZLK center determined under the quadrupole-order model (dashed lines) and characteristic curves of periodic orbits determined under the octupole-order model (solid lines) in the (itot, e1) space for mass ratios at αm=1.1,25,40. To determine periodic orbits associated with ZLK resonance, the initial angles are fixed at g1,0 = g2,0 = π/2. The points marked by hollow circles in panels a and c are taken as examples to produce Poincaré sections, as shown in Figs. 1 and 2.
Current usage metrics show cumulative count of Article Views (full-text article views including HTML views, PDF and ePub downloads, according to the available data) and Abstracts Views on Vision4Press platform.
Data correspond to usage on the plateform after 2015. The current usage metrics is available 48-96 hours after online publication and is updated daily on week days.
Initial download of the metrics may take a while.