Fig. 6

Download original image
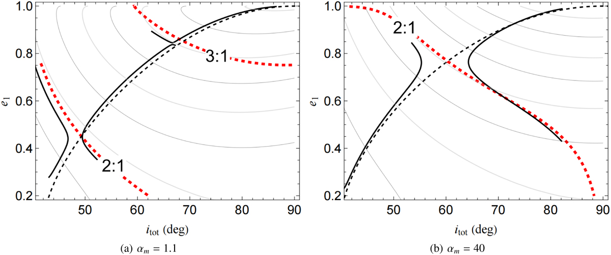
Nominal location of ZLK secondary 2:1 and 3:1 resonances (see red dashed lines), determined by fundamental frequencies for different mass ratios at αm = 1.1 (left panel) and αm = 40 (right panel). For comparison, the characteristic curves of periodic families associated with ZLK resonance (solid blue lines), the conventional ZLK resonant centers (black stars), and the level curves of octupole-order Hamiltonian (gradient gray curves) are presented as background. It is observed that there is a good correspondence between the nominal location of ZLK secondary resonances and the bifurcation points of periodic orbit families.
Current usage metrics show cumulative count of Article Views (full-text article views including HTML views, PDF and ePub downloads, according to the available data) and Abstracts Views on Vision4Press platform.
Data correspond to usage on the plateform after 2015. The current usage metrics is available 48-96 hours after online publication and is updated daily on week days.
Initial download of the metrics may take a while.